精英家教网 > 初中数学 > 题目详情

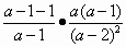
先化简,再求值:,其中a

答案:
解析:

  解:原式=(3分)

  =

  =(4分)

  当时,原式=(5分)


练习册系列答案
相关习题

科目:初中数学 来源: 题型:解答题

对于试题:“先化简,再求值:数学公式,其x=2”某同学写出了如下解答:
她的解答正确吗?如不正确,请你写出正确解答.
解:数学公式
=数学公式
=x-3-(x+1)
=x-3+x+1
=2x-2;
当x=2时,原式=2×2-2=2.

查看答案和解析>>

科目:初中数学 来源:同步题 题型:解答题

有一道题:“先化简,再求值:,其中小张同学做题时把“”错写成了“”,但他的计算结果也是正确的,请你解释这是怎么回事?

查看答案和解析>>

科目:初中数学 来源:2006年全国中考数学试题汇编《分式》(07)(解析版) 题型:解答题

(2006•邵阳)对于试题:“先化简,再求值:,其x=2”某同学写出了如下解答:
她的解答正确吗?如不正确,请你写出正确解答.
解:
=
=x-3-(x+1)
=x-3+x+1
=2x-2;
当x=2时,原式=2×2-2=2.

查看答案和解析>>

科目:初中数学 来源:2006年湖南省邵阳市中考数学试卷(课标卷)(解析版) 题型:解答题

(2006•邵阳)对于试题:“先化简,再求值:,其x=2”某同学写出了如下解答:
她的解答正确吗?如不正确,请你写出正确解答.
解:
=
=x-3-(x+1)
=x-3+x+1
=2x-2;
当x=2时,原式=2×2-2=2.

查看答案和解析>>

科目:初中数学 来源:湖南省中考真题 题型:解答题

对于试题:“先化简,再求值:,其x=2”某同学写出了如下解答:
解:
=
=x-3-(x+1)
=x-3+x+1
=2x-2
当x=2时,原式=2×2-2=2
她的解答正确吗?如不正确,请你写出正确解答。

查看答案和解析>>

同步练习册答案