精英家教网 > 初中数学 > 题目详情

如图,∠ABC=∠ACB,AD、BD、CD分别平分△ABC的外角∠EAC、内角∠ABC、外角∠ACF.以下结论:①AD∥BC;②∠ACB=2∠ADB;③∠ADC=90°-∠ABD;④BD平分∠ADC;⑤∠BDC=∠BAC.
其中正确的结论有( )

A. 5个 B. 4个

C. 3个 D. 2个

练习册系列答案
相关习题

科目:初中数学 来源:山东省德州市2017年中考数学第三次模拟试卷(含答案) 题型:单选题

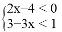
不等式组的解集为( )。

A. <1 B. >2

C. <1或>2 D. 1<<2

查看答案和解析>>

科目:初中数学 来源:江苏省东台市民办校联盟2017届九年级12月阶段检测数学试卷 题型:填空题

已知二次函数y=-x2+2x+m的部分图象如图所示,则关于x的一元二次方程-x2+2x+m=0的解为_____.

查看答案和解析>>

科目:初中数学 来源:安徽省巢湖市2016~2017学年度下期期末统考试卷七年级数学试卷 题型:解答题

广州亚运会中,志愿者们手上、脖子上的丝巾非常美丽,车间70名工人承接了生产丝巾的任务,已知每人每天平均生产手上的丝巾1800条或脖子上的丝巾1200条,一条脖子上的丝巾要配两条手上的丝巾,为了使每天生产的丝巾正好配套,应分配多少名工人生产脖子上的丝巾,多少名工人生产手上的丝巾?

查看答案和解析>>

科目:初中数学 来源:安徽省巢湖市2016~2017学年度下期期末统考试卷七年级数学试卷 题型:解答题

解方程组:

查看答案和解析>>

科目:初中数学 来源:安徽省巢湖市2016~2017学年度下期期末统考试卷七年级数学试卷 题型:单选题

已知点M(3a-9,1-a)在第三象限,且它的坐标都是整数,则a=( )

A. 1 B. 2 C. 3 D. 4

查看答案和解析>>

科目:初中数学 来源:福建省、华安县第一中学2017届九年级上学期第二次(12月)月考数学试卷 题型:解答题

商场某种家电每台进价40元,经市场预测,销售定价为52元时,可售出180台,销售定价每增加(或降价)1元,销售量将减少(或增多)10台.

(1)商场若希望获利2000元,每台销售定价应 为多少元?应进货多少台?

查看答案和解析>>

科目:初中数学 来源:福建省、华安县第一中学2017届九年级上学期第二次(12月)月考数学试卷 题型:单选题

如图,在直角坐标系中,矩形OABC的顶点O是坐标原点,边OA在x轴上,OC在y轴上,如果矩形OA′B′C′与矩形OABC关于点O位似,且矩形OA′B′C′的面积等于矩形OABC面积的,那么点B′的坐标是( )

A. (3,2) B. (-2,-3)

C. (2,3)或(-2,-3) D. (3,2)或(-3,-2)

查看答案和解析>>

科目:初中数学 来源:湖北省鄂州市2017届九年级上学期第二次月考数学试卷 题型:填空题

如图,AB是⊙O的直径,O是圆心,BC与⊙O相切于点B,CD交⊙O于点D,且BC=8,CD=4,那么⊙O的半径是______。

查看答案和解析>>

同步练习册答案