精英家教网 > 初中数学 > 题目详情
如图,正方形ABCD的四个顶点分别在四条平行线l1、l2、l3、l4上,这四条直线中相邻两条之间的距离依次为h1、h2、h3(h1>0,h2>0,h3>0)。
(1)求证h1=h3
(2) 设正方形ABCD的面积为S.求证S=(h2+h3)2+h12
(3)若,当h1变化时,说明正方形ABCD的面积为S随h1的变化情况。
解:(1)过A点作AF⊥l3分别交l2、l3于点E、F,过C点作CH⊥l2分别交l2、l3于点H、G,证△ABE≌△CDG即可;
(2)易证△ABE≌△BCH≌△CDG≌△DAF,且两直角边长分别为h1、h1+h2,四边形EFGH是边长为h2的正方形,所以
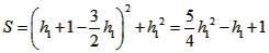
(3)由题意,得
所以


解得0<h1
∴当0<h1<时,S随h1的增大而减小;
当h1=时,S取得最小值
<h1时,S随h1的增大而增大。
练习册系列答案
相关习题

科目:初中数学 来源: 题型:

19、如图:正方形ABCD,M是线段BC上一点,且不与B、C重合,AE⊥DM于E,CF⊥DM于F.求证:AE2+CF2=AD2

查看答案和解析>>

科目:初中数学 来源: 题型:

精英家教网如图,正方形ABCD中,E点在BC上,AE平分∠BAC.若BE=
2
cm,则△AEC面积为
 
cm2

查看答案和解析>>

科目:初中数学 来源: 题型:

精英家教网如图,正方形ABCD中,AB=6,点E在边CD上,且CD=3DE.将△ADE沿AE对折至△AFE,延长EF交边BC于点G,连接AG、CF.下列结论:①△ABG≌△AFG;②BG=GC;③AG∥CF;④S△FGC=3.其中正确结论的个数是(  )
A、1B、2C、3D、4

查看答案和解析>>

科目:初中数学 来源: 题型:

17、如图,正方形ABCD的边长为4,将一个足够大的直角三角板的直角顶点放于点A处,该三角板的两条直角边与CD交于点F,与CB延长线交于点E,四边形AECF的面积是
16

查看答案和解析>>

科目:初中数学 来源: 题型:

如图,正方形ABCD的边CD在正方形ECGF的边CE上,连接BE、DG.
(1)若ED:DC=1:2,EF=12,试求DG的长.
(2)观察猜想BE与DG之间的关系,并证明你的结论.

查看答案和解析>>

同步练习册答案