精英家教网 > 初中数学 > 题目详情

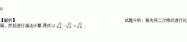
计算的结果是( )

A. 6 B. C. 2 D.

练习册系列答案
相关习题

科目:初中数学 来源:湖北省天门市2016-2017学年八年级下学期期中考试数学试卷 题型:单选题

下列命题中的真命题是(  )

A. 有一组对边平行的四边形是平行四边形

B. 有一个角是直角的四边形是矩形

C. 对角线互相垂直平分的四边形是正方形

D. 有一组邻边相等的平行四边形是菱形

查看答案和解析>>

科目:初中数学 来源:安徽省合肥市中铁国际城校区2016-2017学年七年级下学期期中考试数学试卷 题型:填空题

互为相反数,则=_________

查看答案和解析>>

科目:初中数学 来源:甘肃省2016-2017学年八年级下学期第一次月考数学试卷 题型:填空题

若最简二次根式是同类二次根式,那么=________。

查看答案和解析>>

科目:初中数学 来源:甘肃省2016-2017学年八年级下学期第一次月考数学试卷 题型:填空题

如果代数式有意义,那么x的取值范围是__.

查看答案和解析>>

科目:初中数学 来源:甘肃省2016-2017学年八年级下学期第一次月考数学试卷 题型:单选题

计算的结果是

A. –3 B. 3 C. –9 D. 9

查看答案和解析>>

科目:初中数学 来源:浙江省温州市2017届九年级10月月考数学试卷 题型:解答题

请你依据右面图框中的寻宝游戏规则,探究“寻宝游戏”的奥秘:

(1)用树状图表示出所有可能的寻宝情况;

(2)求在寻宝游戏中胜出的概率.

查看答案和解析>>

科目:初中数学 来源:浙江省温州市2017届九年级10月月考数学试卷 题型:单选题

抛物线的对称轴是 ( )

A. 直线 B. 直线 C. 直线 D. 直线

查看答案和解析>>

科目:初中数学 来源:福建省莆田市2016届九年级数学能力达标练习08 题型:单选题

如图,在菱形ABCD中,AB的垂直平分线EF交对角线AC于点F,垂足为点E,连接DF,且∠CDF=24°,则∠DAB等于

A. 100° B. 104° C. 105° D. 110°

查看答案和解析>>

同步练习册答案