精英家教网 > 初中数学 > 题目详情
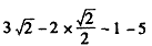
计算:-2cos45°-(2010)0-(-1
练习册系列答案
相关习题

科目:初中数学 来源: 题型:

计算:-2cos45°+(
1
2
-2+|1-
2
|.

查看答案和解析>>

科目:初中数学 来源: 题型:

(1)计算:-2cos45°+(π-3)0+
1
8

(2)化简:
2
x2-1
+
1
x+1

查看答案和解析>>

科目:初中数学 来源: 题型:

(2012•巴中)计算:2cos45°+(
2
-1)0-(
1
2
-1

查看答案和解析>>

科目:初中数学 来源: 题型:

计算2sin60°-
2
cos45°-3tan30°+tan45°

查看答案和解析>>

科目:初中数学 来源: 题型:

计算
3
cos30°-
2
cos45°+tan45°

查看答案和解析>>

同步练习册答案