精英家教网 > 初中数学 > 题目详情

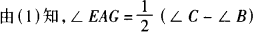
(1)如图(1),在△ABC中,∠C>∠BADBCDAE平分∠BAC,则∠EAD与∠B、∠C有何数量关系?

(2)如图(2),AE平分∠BACF为其上一点,且FDBCD,这时∠EFD与∠B、∠C又有何数量关系?

(3)如图(3),AE平分∠BACFAE延长线上一点,FDBCD,这时∠AFD与∠B、∠C又有何数量关系?

答案:
解析:

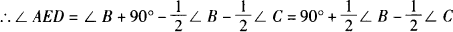
  答案:(1)∵AE平分∠BAC∴∠BAEBAC∵∠BAC=180°-∠B-∠C∴∠BAE(180°-∠B-∠C)=90°-BC∵∠AED=∠B+∠BAE

  

  

  

  

  

  

  

  

  

  

  

  

  

  


提示:

  在处理三角形中的角的问题时,有时需要从整体出发进行考虑,有时也可以通过适当添加辅助线使未知问题转化为已经解决的问题.本题中第(1)问要找出∠EAD与∠B、∠C的数量关系,可考虑利用三角形内角和等于180°及三角形的外角性质.为此,把∠EAD、∠B、∠C先放到具体的三角形中,∠EAD可看做△ADE的一个内角,也可看做∠EAC与∠DAC的差或∠BAD与∠BAE的差.

  本题第(2)、(3)小题,可先作出BC边上的高,得到∠EAG,再确定∠EFD(如图(2)、图(3)).


练习册系列答案
相关习题

科目:初中数学 来源: 题型:

精英家教网如图,已知在△ABC中,∠C=90°,点D在BC上,∠B=∠DAC,且S△ACD:S△BCA=4:9,若AC=6.
(1)求CD的值;
(2)求tan∠BAC的值.

查看答案和解析>>

科目:初中数学 来源: 题型:

精英家教网如图所示,在正方形铁皮中,剪下一个圆和一个扇形,使余料尽量少.用圆做圆锥的底面,用扇形做圆锥的侧面,正好围成一个圆锥,若圆的半径为r,扇形的半径为R,那么(  )
A、R=2rB、R=rC、R=3rD、R=4r

查看答案和解析>>

科目:初中数学 来源: 题型:

精英家教网如图所示,在△ABC中,以AB为直径的⊙O交BC于点P,PD⊥AC于点D,且PD与⊙O相切.
(1)求证:AB=AC;
(2)若BC=6,AB=4,求CD的值.

查看答案和解析>>

科目:初中数学 来源: 题型:

精英家教网如图所示,在△ABC中,∠CAB=90°,AB=AC=1,D是AB上的一点,且DE⊥BC,垂足为E,直角边ED交直角边CA的延长线于点F,则当AD=
 
时,△ADF与△BDE的面积之和最小,最小值为
 

查看答案和解析>>

科目:初中数学 来源: 题型:

如图1,四边形ABCD,将顶点为A的角绕着顶点A顺时针旋转,角的一条边与DC的延长线交于点F,角的另一边与CB的延长线交于点E,连接EF.
(1)如果四边形ABCD为正方形,当∠EAF=45°时,有EF=DF-BE.请你思考如何证明这个结论(只需思考,不必写出证明过程);
(2)如图2,如果在四边形ABCD中,AB=AD,∠ABC=∠ADC=90°,当∠EAF=
1
2
∠BAD时,EF与DF、BE之间有怎样的数量关系?请写出它们之间的关系式(只需写出结论);
(3)如图3,如果在四边形ABCD中,AB=AD,∠ABC与∠ADC互补,当∠EAF=
1
2
∠BAD时,EF与DF、BE之间有怎样的数学关系?请写出它们之间的关系式并给予证明;
(4)在(3)中,若BC=4,DC=7,CF=2,求△CEF的周长(直接写出结果即可).
精英家教网

查看答案和解析>>

同步练习册答案