精英家教网 > 初中数学 > 题目详情

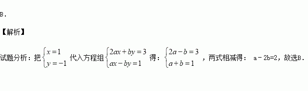
已知关于x,y的二元一次方程组的解为,则a﹣2b的值是( )

A.﹣2 B.2 C.3 D.﹣3

练习册系列答案
相关习题

科目:初中数学 来源:2017年初中毕业升学考试(四川内江卷)数学(解析版) 题型:选择题

下面四个数中比﹣5小的数是( )

A.1 B.0 C.﹣4 D.﹣6

查看答案和解析>>

科目:初中数学 来源:2017年初中毕业升学考试(四川绵阳卷)数学(解析版) 题型:选择题

将二次函数的图象先向下平移1个单位,再向右平移3个单位,得到的图象与一次函数y=2x+b的图象有公共点,则实数b的取值范围是( )

A.b>8 B.b>﹣8 C.b≥8 D.b≥﹣8

查看答案和解析>>

科目:初中数学 来源:2017年初中毕业升学考试(四川眉山卷)数学(解析版) 题型:解答题

先化简,再求值:,其中a=﹣2.

查看答案和解析>>

科目:初中数学 来源:2017年初中毕业升学考试(四川眉山卷)数学(解析版) 题型:选择题

已知,则的值等于( )

A.1 B.0 C.﹣1 D.

查看答案和解析>>

科目:初中数学 来源:2017年初中毕业升学考试(四川眉山卷)数学(解析版) 题型:选择题

不等式的解集是( )

A.x< B.x<﹣1 C.x> D.x>﹣1

查看答案和解析>>

科目:初中数学 来源:2017年初中毕业升学考试(浙江湖州卷)数学(解析版) 题型:解答题

对于任意实数,定义关于“”的一种运算如下:.例如:

(1)若,求的值;

(2)若,求的取值范围.

查看答案和解析>>

科目:初中数学 来源:2017年初中毕业升学考试(浙江湖州卷)数学(解析版) 题型:选择题

在平面直角坐标系中,点关于原点的对称点的坐标是( )

A. B. C. D.

查看答案和解析>>

科目:初中数学 来源:2017年初中毕业升学考试(新疆建设兵团卷)数学(解析版) 题型:选择题

已知关于x的方程x2+x﹣a=0的一个根为2,则另一个根是( )

A.﹣3 B.﹣2 C.3 D.6

查看答案和解析>>

同步练习册答案