精英家教网 > 初中数学 > 题目详情
如图,△ABC中,∠ACB=90,∠A=30,AB=4,D是AB延长线上一点,且∠CDB=45,求DB和DC的长。
解:过C作CH⊥AB,垂足为H,
∵ △ABC为直角三角形,且∠A= 30°,AB=4 ,
∴ BC=2
∴ HB=1 CH=
在△CHD中,∠CHD= 90°,∠D= 45°,
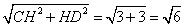
∴DH= CH = , BD= HD-HB=-1
∴ DC=
练习册系列答案
相关习题

科目:初中数学 来源: 题型:

26、已知:如图,△ABC中,点D在AC的延长线上,CE是∠DCB的角平分线,且CE∥AB.
求证:∠A=∠B.

查看答案和解析>>

科目:初中数学 来源: 题型:

27、已知:如图,△ABC中,∠BAC=60°,D、E两点在直线BC上,连接AD、AE.
求:∠1+∠2+∠3+∠4.

查看答案和解析>>

科目:初中数学 来源: 题型:

27、如图,△ABC中,AD⊥BC于D,DN⊥AC于N,DM⊥AB于M
求证:∠ANM=∠B.

查看答案和解析>>

科目:初中数学 来源: 题型:

14、如图,△ABC中,∠BAC=120°,AD⊥BC于D,且AB+BD=DC,则∠C的大小是(  )

查看答案和解析>>

科目:初中数学 来源: 题型:

精英家教网已知,如图,△ABC中,点D在BC上,且∠1=∠C,∠2=2∠3,∠BAC=70°.
(1)求∠2的度数;
(2)若画∠DAC的平分线AE交BC于点E,则AE与BC有什么位置关系,请说明理由.

查看答案和解析>>

同步练习册答案