精英家教网 > 初中数学 > 题目详情

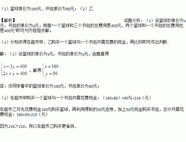
小文在甲、乙两家超市发现他看中的篮球的单价相同,书包单价也相同,一个篮球和三个书包的总费用是400元.两个篮球和一个书包的总费用也是400元.

(1)求小文看中的篮球和书包单价各是多少元?

(2)某一天小文上街,恰好赶上商家促销,超市甲所有商品打九折销售,超市乙全场购物满100元返30元购物券(不足100元不返券,购物券全场通用),如果他只能在同一家超市购买他看中的篮球和书包各一个,应选择哪一家超市购买更省钱?并说明理由.

练习册系列答案
相关习题

科目:初中数学 来源:四川省外国语实验学校2016-2017学年八年级下学期第二学段考试数学A卷试卷 题型:选择题

四边形ABCD中,对角线AC、BD相交于点O,给出下列四个条件:①AD∥BC;②AD=BC;③OA=OC;④OB=OD,从中任选两个条件,能使四边形ABCD为平行四边形的选法有( ).

A.3种 B.4种 C.5种 D.6种

查看答案和解析>>

科目:初中数学 来源:河北省保定市高阳县2016-2017学年八年级下学期期末考试数学试卷 题型:单选题

□ABCD中,如果∠B=100°,那么∠A、∠D的值分别是( )

A. ∠A=80°,∠D=100° B. ∠A=100°,∠D=80°

C. ∠B=80°,∠D=80° D. ∠A=100°,∠D=100°

查看答案和解析>>

科目:初中数学 来源:四川外语学院重庆第二外国语学校2016-2017学年七年级下学期第二次月考(期中)数学试卷 题型:单选题

下列图形是由同样大小的棋子按照一定规律排列而成的,其中,图1中有5个棋子,图2中有10个棋子,图3中有16个棋子,……,则图7中有( )个棋子.

A. 35 B. 50 C. 45 D. 40

查看答案和解析>>

科目:初中数学 来源:四川外语学院重庆第二外国语学校2016-2017学年七年级下学期第二次月考(期中)数学试卷 题型:单选题

小明现有两根长度为4cm和的小木棒,他想钉一个三角形木框,还差一根木棒,如果有下列长度的四根木棒供他选择,则他应该选的是( )

A. B. C. D.

查看答案和解析>>

科目:初中数学 来源:河北省秦皇岛市2016-2017学年七年级下学期期末考试数学试卷 题型:解答题

计算:

查看答案和解析>>

科目:初中数学 来源:河北省秦皇岛市2016-2017学年七年级下学期期末考试数学试卷 题型:单选题

《九章算术》是我国东汉初年编订的一部数学经典著作。在它的“方程”一章里,一次方程组是由算筹布置而成的,《九章算术》中的算筹图是竖排的,为看图方便,我们把它改为横排,如图1、图2,图中各行从左到右列出的算筹数分别表示未知数x,y的系数与相应的常数项,把图1所示的算筹图用我们现在所熟悉的方程组形式表述出来,就是: ,类似地,图2所示的算筹图我们可以表述为( )

A. B. C. D.

查看答案和解析>>

科目:初中数学 来源:青海省2016-2017学年七年级6月月考数学试卷 题型:解答题

解不等式≤1,并把它的解集在数轴上表示出来.

查看答案和解析>>

科目:初中数学 来源:广西南宁市2016-2017学年七年级上学期期中段考数学试卷 题型:单选题

下列运算中正确的是( )

A. B. C. D.

查看答案和解析>>

同步练习册答案