精英家教网 > 初中数学 > 题目详情

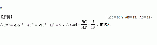
在△ABC中,∠C=90°,AB=13,BC=5,则sinA的值是( )

A. B. C. D.

练习册系列答案
相关习题

科目:初中数学 来源:山东省济南市章丘区2016-2017学年八年级下学期期末片区联考数学试卷 题型:填空题

4个数a,b,c,d排列成 ,我们称之为二阶行列式.规定它的运算法则为:=ad﹣bc.若 >12,则x__.

查看答案和解析>>

科目:初中数学 来源:河南省2017-2018学年八年级上学期入学考试数学试卷 题型:单选题

已知x=2是关于x的方程3x+a=0的一个解,则a的值是( )

A. ﹣6 B. ﹣3 C. ﹣4 D. ﹣5

查看答案和解析>>

科目:初中数学 来源:江苏省无锡市2017届九年级上学期期中考试数学试卷 题型:填空题

如图,线段AB是⊙O的直径,弦CD丄AB,∠CAB=20°,则∠AOD等于___

查看答案和解析>>

科目:初中数学 来源:江苏省无锡市2017届九年级上学期期中考试数学试卷 题型:单选题

如图,在□ABCD中,E为CD上一点,连接AE、BD,且AE、BD交于点F,S△DEF:S△ABF=4:25,则DE:EC=( )

A. 3:2 B. 1:1 C. 2:5 D. 2:3

查看答案和解析>>

科目:初中数学 来源:天津市 2017年九年级数学中考模拟试卷 题型:解答题

如图,两条互相平行的河岸,在河岸一边测得AB为20米,在另一边测得CD为70米,用测角器测得∠ACD=30°,测得∠BDC=45°,求两条河岸之间的距离.(≈1.7,结果保留整数)

查看答案和解析>>

科目:初中数学 来源:天津市 2017年九年级数学中考模拟试卷 题型:填空题

一个均匀的立方体各面上分别标有数字1,2,3,4,6,8,其表面展开图是如图,抛掷这个立方体,则朝上一面的数字恰好等于朝下一面上的数字的2倍的概率是

查看答案和解析>>

科目:初中数学 来源:广西钦州市钦北区2016-2017学年第二学期期末考试八年级数学试卷 题型:解答题

如图:在平行四边形ABCD中,用直尺和圆规作∠BAD的平分线交BC于点E(尺规作图的痕迹保留在图中了),连接EF.

(1)求证:四边形ABEF为菱形;

(2)AE,BF相交于点O,若BF=6,AB=5,求AE的长.

查看答案和解析>>

科目:初中数学 来源:安徽省蚌埠市、新城实验、慕远)2016-2017学年八年级上学期期中联考数学试卷 题型:单选题

在平面直角坐标系中,点(-1,2)在( ).

A. 第一象限 B. 第二象限 C. 第三象限 D. 第四象限

查看答案和解析>>

同步练习册答案