精英家教网 > 初中数学 > 题目详情
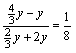
已知,求的值。
(2)由已知得,带入,得
练习册系列答案
相关习题

科目:初中数学 来源: 题型:

已知,求的值.

查看答案和解析>>

科目:初中数学 来源:2011-2012学年北京市朝阳区中考一模数学卷(带解析) 题型:解答题

.已知,求的值.

查看答案和解析>>

科目:初中数学 来源:2011-2012学年江苏省宿迁市八年级下学期3月联考数学卷 题型:解答题

(8分)已知,求的值.

 

查看答案和解析>>

科目:初中数学 来源:2011-2012年黑龙江省八年级上学期期末考试数学卷 题型:解答题

.(6分) 已知,求的值

 

查看答案和解析>>

科目:初中数学 来源:2010-2011学年江苏省大丰市初三第一学期期末数学卷 题型:解答题

(1)已知 的值    

(2) 已知,求的值

 

查看答案和解析>>

同步练习册答案