精英家教网 > 初中数学 > 题目详情

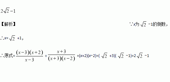
若x为的倒数,则的值为________。

练习册系列答案
相关习题

科目:初中数学 来源:2017年广西玉林市中考数学二模试卷 题型:单选题

如图,沿AE折叠矩形纸片ABCD,使点D落在BC边的点F处已知AB=8,BC=10,则tan∠EFC的值为(  )

A. B. C. D.

查看答案和解析>>

科目:初中数学 来源:江苏省南京树人集团2017年九年级下学期数学二模试卷 题型:解答题

用一条长的绳子能否围成一个面积为的矩形?如能,说明围法;如果不能,说明理由.

查看答案和解析>>

科目:初中数学 来源:江苏省南京树人集团2017年九年级下学期数学二模试卷 题型:单选题

下列运算正确的是( ).

A. B. C. D.

查看答案和解析>>

科目:初中数学 来源:江苏省连云港市2017年中考数学第三次模拟试卷 题型:解答题

为了让学生了解环保知识,增强环保意识,红星中学举行了一次“环保知识竞赛”,共有900名学生参加了这次竞赛.为了解本次竞赛成绩情况,从中抽取了部分学生的成绩(得分取正整数,满分为100分)进行统计.请你根据下面尚未完成并有局部污损的频率分布表和频率分布直方图,解答下列问题:

(1)填充频率分布表中的空格;

(2)补全频率分布直方图;

(3)在该问题中的样本容量是多少?

答:              

(4)全体参赛学生中,竞赛成绩落在哪组范围内的人数最多?(不要求说明理由)”

答:              

(5)若成绩在90分以上(不含90分)为优秀,则该校成绩优秀的约为多少人?

答:              

查看答案和解析>>

科目:初中数学 来源:江苏省连云港市2017年中考数学第三次模拟试卷 题型:填空题

已知不等式组的解集是2<x<3,分解因式x2-3x-2mn=__________________.

查看答案和解析>>

科目:初中数学 来源:江苏省连云港市2017年中考数学第三次模拟试卷 题型:单选题

一个滑轮起重装置如图所示,滑轮的半径是15cm,当重物上升15cn时,滑轮的一条半径OA绕轴心O按顺时针方向旋转的角度约为( )(π取3.14,结果精确到1º)

A. 115º B. 60º C. 57º D. 29º

查看答案和解析>>

科目:初中数学 来源:海南省万宁市2017届九年级上学期第一次月考数学试卷 题型:单选题

如图,AB是⊙O的直径,弦CD⊥AB于点E,已知,CD=8,AE=2,则⊙O的半径长是(   )

A. 10cm B. 6cm C. 5cm D. 3cm

查看答案和解析>>

科目:初中数学 来源:上海市徐汇区2016-2017学年八年级(下)期末数学试卷 题型:解答题

已知直线y=kx+b经过点A(﹣3,﹣8),且与直线的公共点B的横坐标为6.

(1)求直线y=kx+b的表达式;

(2)设直线y=kx+b与y轴的公共点为点C,求△BOC的面积.

查看答案和解析>>

同步练习册答案