精英家教网 > 初中数学 > 题目详情
如图,已知菱形ABCD 内接于△AEF,AE=5cm ,AF=4cm,求菱形的边长。

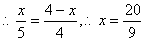
解:设菱形ABCD 的边长为x ,

∵DC∥AE ,
∴△FDC∽△FAE,得

练习册系列答案
  • 1加1阅读好卷系列答案
  • 专项复习训练系列答案
  • 初中语文教与学阅读系列答案
  • 阅读快车系列答案
  • 完形填空与阅读理解周秘计划系列答案
  • 英语阅读理解150篇系列答案
  • 奔腾英语系列答案
  • 标准阅读系列答案
  • 53English系列答案
  • 考纲强化阅读系列答案
  • 年级 高中课程 年级 初中课程
    高一 高一免费课程推荐! 初一 初一免费课程推荐!
    高二 高二免费课程推荐! 初二 初二免费课程推荐!
    高三 高三免费课程推荐! 初三 初三免费课程推荐!
    相关习题

    科目:初中数学 来源: 题型:

    精英家教网如图,已知菱形ABCD的边长为1.5cm,B,C两点在扇形AEF的
    EF
    上,求
    BC
    的长度及扇形ABC的面积.

    查看答案和解析>>

    科目:初中数学 来源: 题型:

    精英家教网如图,已知菱形ABCD的周长为16cm,∠ABC=60°,对角线AC和BD相交于点O,求AC和BD的长.

    查看答案和解析>>

    科目:初中数学 来源: 题型:

    25、如图,已知菱形ADEF和等腰三角形ABC,AB=AC,∠BAC=54°,点B、C分别在DE、EF.(B、C分别不与E、F重合)
    (1)如图1,当AE平分∠BAC时,
    ①求证:BD=CF;
    ②当AD=AB时,求∠ABD的度数;
    (2)如图2,当AE不平分∠BAC时,若△ADB是一个等腰三角形,求∠ABD的度数.

    查看答案和解析>>

    科目:初中数学 来源: 题型:

    如图,已知菱形ABCD边长为6
    3
    ,∠ABC=120°,点P在线段BC延长线上,半径为r1的圆O1与DC、CP、DP分别相切于点H、F、N,半径为r2的圆O2与PD延长线、CB延长线和BD分别相切于点M、E、G.
    (1)求菱形的面积;
    (2)求证:EF=MN;
    (3)求r1+r2的值.

    查看答案和解析>>

    科目:初中数学 来源: 题型:

    如图,已知菱形ABCD为2cm.B、C两点在以点A为圆心的
    EF
    上,求
    BC
    的长度及扇形ABC的面积.(结果保留π)

    查看答案和解析>>

    同步练习册答案