精英家教网 > 初中数学 > 题目详情

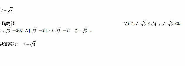
化简:|—2 |=_____.

练习册系列答案
相关习题

科目:初中数学 来源:江苏省无锡市2016-2017学年七年级5月月考数学试卷 题型:单选题

如图,在某张桌子上放相同的木块,R=34,S=92,则桌子的高度是(  )

A. 63 B. 58 C. 60 D. 55

查看答案和解析>>

科目:初中数学 来源:江苏省南京市六合区2017届九年级第一次模拟考试数学试卷 题型:解答题

化简:(

查看答案和解析>>

科目:初中数学 来源:江苏省南京市六合区2017届九年级第一次模拟考试数学试卷 题型:单选题

计算│-4+1│的结果是( )

A. -5 B. -3 C. 3 D. 5

查看答案和解析>>

科目:初中数学 来源:[中学联盟]山东省临沂市青云镇中心中学2016-2017学年七年级5月阶段质量检测数学试卷 题型:填空题

对于实数a,符号[a]表示不大于a的最大整数.例如:[5.7]=5,[5]=5,[-π]=-4.如果[a]=-2,那么a的取值范围是 _____.

查看答案和解析>>

科目:初中数学 来源:[中学联盟]山东省临沂市青云镇中心中学2016-2017学年七年级5月阶段质量检测数学试卷 题型:单选题

若a<b<0,则下列式子:①a+1<b+2;②>1;③a+b<ab;④中,正确的有( )

A. 1个 B. 2个 C. 3个 D. 4个

查看答案和解析>>

科目:初中数学 来源:[中学联盟]山东省临沂市青云镇中心中学2016-2017学年七年级5月阶段质量检测数学试卷 题型:单选题

在实数0,﹣,|﹣3|,﹣1中,最小的是( )

A. 0 B. ﹣ C. |﹣3| D. ﹣1

查看答案和解析>>

科目:初中数学 来源:安徽六安市 2017年 九年级数学中考模拟试卷(含答案) 题型:单选题

下列调查中,调查方式选择合理的是( )

A. 了解妫水河的水质情况,选择抽样调查

B. 了解某种型号节能灯的使用寿命,选择全面调查

C. 了解一架Y-8GX7新型战斗机各零部件的质量,选择抽样调查

D. 了解一批药品是否合格,选择全面调查

查看答案和解析>>

科目:初中数学 来源:湖北省襄阳市襄城区2017年九年级适应性考试数学试卷 题型:填空题

如图,MN是⊙O的直径,MN=10,点A在⊙O上,∠AMN=30°,B为弧AN的中点,P是直径MN上一动点,则PA+PB的最小值为__________.

查看答案和解析>>

同步练习册答案