精英家教网 > 初中数学 > 题目详情
在如图所示的直角坐标系中,画图并解答下列问题:
(1)分别写出A、B两点的坐标;
(2)将△ABC先向上平移4个单位,再向左平移3个单位得到△A1B1C1
(3)求出线段A1B1所在直线l的函数解析式,并写出在直线l上线段A1B1从B1到A1的自变量x的取值范围。
解:(1)从图中可得出:
A(2,0),B(-1,-4);
(2)所画图形如下所示:

△A1B1C1即为所求;
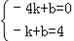
(3)设线段A1B1所在直线l的解析式为:y=kx+b(k≠0),
∵B1(-4,0),A1(-1,4),
,解得:
∴线段B1A1所在直线l的解析式为:y=
线段B1A1的自变量x的取值范围是:-4≤x≤-1。
练习册系列答案
相关习题

科目:初中数学 来源: 题型:

精英家教网如图,有一个抛物线的拱形立交桥,这个桥拱的最大高度为16m,跨度为40m,现把它放在如图所示的直角坐标系里,若要在离跨度中心点M5m处垂直竖一根铁柱支撑这个拱顶,铁柱应取多长?

查看答案和解析>>

科目:初中数学 来源:学习周报 数学 北师大八年级版 2009-2010学年 第19-26期 总第175-182期 北师大版 题型:044

在如图所示的直角坐标平面上,表示下列各点:(44)(14)(32)(82)(104)(44)(48)(87)(85)(46)

(1)用线段依次按照上述顺序把各点连接起来形成一个图案,这个图案像什么?

(2)把这些点的横坐标都加5,纵坐标不变,想象由这些点顺次连接形成的图案与(1)中的图案有什么关系?

(3)把题目中各点的横坐标不变,纵坐标都乘以-1,重新在图中描点、连线,得到的图案与(1)中的图案有什么关系?

查看答案和解析>>

科目:初中数学 来源:《第2章 二次函数》2010年单元测试卷(解析版) 题型:解答题

如图,有一个抛物线的拱形立交桥,这个桥拱的最大高度为16m,跨度为40m,现把它放在如图所示的直角坐标系里,若要在离跨度中心点M5m处垂直竖一根铁柱支撑这个拱顶,铁柱应取多长?

查看答案和解析>>

科目:初中数学 来源:2012-2013学年浙江省湖州市吴兴区九年级(上)第一次月考数学试卷(解析版) 题型:解答题

如图,有一个抛物线的拱形立交桥,这个桥拱的最大高度为16m,跨度为40m,现把它放在如图所示的直角坐标系里,若要在离跨度中心点M5m处垂直竖一根铁柱支撑这个拱顶,铁柱应取多长?

查看答案和解析>>

科目:初中数学 来源:《第2章 二次函数》2010年单元测试2(解析版) 题型:解答题

如图,有一个抛物线的拱形立交桥,这个桥拱的最大高度为16m,跨度为40m,现把它放在如图所示的直角坐标系里,若要在离跨度中心点M5m处垂直竖一根铁柱支撑这个拱顶,铁柱应取多长?

查看答案和解析>>

同步练习册答案