精英家教网 > 初中数学 > 题目详情

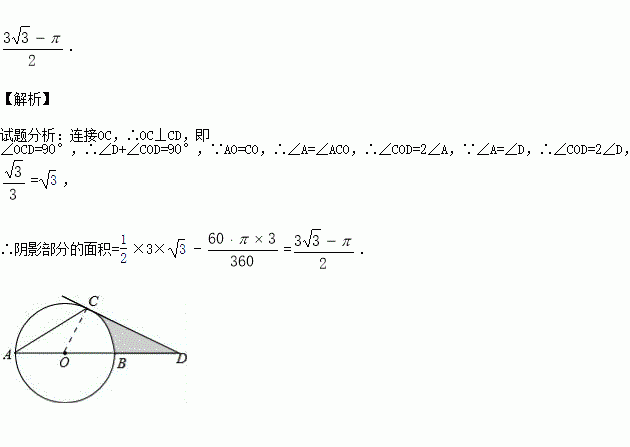
如图,AB是⊙O的直径,AC是⊙O的弦,过点C的切线交AB的延长线于点D,若∠A=∠D,CD=3,则图中阴影部分的面积为

练习册系列答案
相关习题

科目:初中数学 来源: 题型:选择题

1.如图是几何体的俯视图,所表示数字为该位置小正方体的个数,则该几何体的正视图是(  )
A.B.C.D.

查看答案和解析>>

科目:初中数学 来源:2016-2017学年新疆乌鲁木齐市八年级下学期第一次月考数学试卷(解析版) 题型:判断题

已知x=+2,y=-2,求x2+2xy+y2和x2 - y2的值.

查看答案和解析>>

科目:初中数学 来源:2016-2017学年新疆乌鲁木齐市八年级下学期第一次月考数学试卷(解析版) 题型:单选题

下列选项中,正确的是(  )

A. ()2= -5 B. 是最简二次根式

C. =-2 D. 3=-

查看答案和解析>>

科目:初中数学 来源:2017届重庆市九年级3月月考数学试卷(解析版) 题型:解答题

所谓气质,是指婴儿出生后最早表示出来的以一种较为明显而稳定的人格特征类型,也指孩子对身体内在或外来刺激反应的方式。心理学界常将气质分为四大类:胆汁型、多血质、黏液质、抑郁质。我校心理协会为了更好的了解学生,在高中随机发放了若干份问卷调查,并将统计结果绘制成如下图表:

四种气质类型人数频数分布表

黏液质气质各年级人数频数分布直方图

气质类型

频数

频率

胆汁型

180

a

多血质

140

0.28

黏液质

80

0.16

抑郁质

b

0.20

根据以上信息完成下列问题并补全频数分布直方图:

(1)_______, _______

(2)请你估计一下,高三年级1200名学生中,胆汁型和多血质的共有多少人?

查看答案和解析>>

科目:初中数学 来源:2017届重庆市九年级3月月考数学试卷(解析版) 题型:选择题

如图,是一组按照某种规律摆放而成的图案,则图5中三角形的个数是(  ).

A. 8     B.9     C.16     D.17

查看答案和解析>>

科目:初中数学 来源:2017届重庆市九年级3月月考数学试卷(解析版) 题型:单选题

已知关于的方程x2-kx-6=0的一个要根为x=3,则实数k的值为( )

A. 1 B. - 1 C. 2 D. -2

查看答案和解析>>

科目:初中数学 来源:2016-2017学年浙江省八年级3月月考数学试卷(解析版) 题型:单选题

已知关于 的一元二次方程 有两个不相等的实数根,则k的取值范围是( )

A. k≥﹣2 B. k﹥ ﹣2 C. k﹥﹣2 且k≠﹣1 D. .k﹤ ﹣1

查看答案和解析>>

科目:初中数学 来源: 题型:解答题

16.如图,在平行四边形ABCD中,AB=5cm,BC=8cm,∠B=60°,G是CD的中点,E是边AD上的动点EG的延长线与BC的延长线交于点F,连结CE,DF.
(1)求证:四边形CEDF是平行四边形;
(2)当AE=5.5cm时,四边形CEDF是矩形.

查看答案和解析>>

同步练习册答案