精英家教网 > 初中数学 > 题目详情

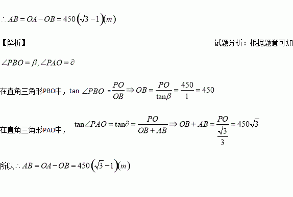
如图,直升飞机在资江大桥AB的上方P点处,此时飞机离地面的高度PO=450米,且A、B、O三点在一条直线上,测得大桥两端的俯角分别为α=30°,β=45°,求大桥的长AB.

练习册系列答案
相关习题

科目:初中数学 来源:安徽省合肥市中铁国际城校区2016-2017学年八年级下学期第一次月考数学试卷 题型:解答题

(10分)观察下列各式及其验证过程:

,验证:

,验证:

按照上述等式及其验证过程,猜想的变形结果并验证;

针对上述各式的规律,写出用 (为自然数且)表示的等式。

查看答案和解析>>

科目:初中数学 来源:云南昆明市 2017年九年级数学中考模拟试卷(含答案) 题型:填空题

有理数a,b在数轴上对应位置如图,代数式值是________-.

查看答案和解析>>

科目:初中数学 来源:福建省2016-2017学年八年级下学期期中数学试卷 题型:选择题

估计的值在

A. 在1和2之间 B. 在2和3之间

C. 在3和4之间 D. 在4和5之间

查看答案和解析>>

科目:初中数学 来源:福建省2016-2017学年八年级下学期期中数学试卷 题型:单选题

下列二次根式中,属于最简二次根式的是(   )

A. B. C. D.

查看答案和解析>>

科目:初中数学 来源:安徽合肥市 2017年九年级数学中考模拟试卷(含答案) 题型:填空题

扇形的圆心角为120°,弧长为6πcm,那么这个扇形的面积为_____cm2.

查看答案和解析>>

科目:初中数学 来源:安徽合肥市 2017年九年级数学中考模拟试卷(含答案) 题型:单选题

已知a﹣b=3,c+d=2,则(b+c)﹣(a﹣d)的值是( )

A. ﹣1 B. 1 C. ﹣5 D. 15

查看答案和解析>>

科目:初中数学 来源:九年级数学(浙教版)上册同步练习:1.2 二次函数的图象(一) 题型:单选题

下列函数中,图象的最低点是原点的是( )

A. y=-3x2 B. y=2x2 C. y=2x+1 D. y=

查看答案和解析>>

科目:初中数学 来源:2017年初中毕业升学考试(福建卷)数学(解析版) 题型:解答题

如图,四边形内接于的直径,点的延长线上,

(Ⅰ)若,求弧的长;

(Ⅱ)若弧,求证:的切线.

查看答案和解析>>

同步练习册答案