精英家教网 > 初中数学 > 题目详情
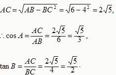
如图所示,在Rt △ABC 中,∠C=90°,AB=6 ,BC=4 ,求cosA 和tanB 的值.
解:在Rt △ABC 中,
练习册系列答案
相关习题

科目:初中数学 来源: 题型:

精英家教网如图所示,在Rt△ABC中,∠A=90°,BD平分∠ABC,交AC于点D,且AB=4,BD=5,则点D到BC的距离是(  )
A、3B、4C、5D、6

查看答案和解析>>

科目:初中数学 来源: 题型:

21、如图所示,在Rt△ABC中,∠ACB=90°,CD⊥AB,∠A=55°,则∠DCB=
55
度.

查看答案和解析>>

科目:初中数学 来源: 题型:

22、如图所示,在Rt△ABC中,∠C=90°,∠A=30°.作AB的中垂线l分别交AB、AC及BC的延长线于点D、E、F,连接BE. 求证:EF=2DE.

查看答案和解析>>

科目:初中数学 来源: 题型:

如图所示,在Rt△ABC中,∠C=90°,AC=6,sinB=
3
5
,若以C为圆心,R为半径所得的圆与斜边AB只有一个公共点,则R的取值范围是(  )

查看答案和解析>>

科目:初中数学 来源: 题型:

如图所示,在Rt△ABC中,AD平分∠BAC,交BC于D,CH⊥AB于H,交AD于F,DE⊥AB垂足为E,求证:四边形CFED是菱形.

查看答案和解析>>

同步练习册答案