ijÆóÒµÐÅÏ¢²¿½øÐÐÊг¡µ÷Ñз¢ÏÖ£º

ÐÅÏ¢Ò»£ºÈç¹ûµ¥¶ÀͶ×ÊAÖÖ²úÆ·£¬µ±Í¶×ÊÔÚ5ÍòÔªÒÔÄÚ(º¬5ÍòÔª)ʱ£¬Ëù»ñÀûÈóyA(ÍòÔª)ËæÍ¶×ʽð¶îx(ÍòÔª)µÄÔö´ó¶øÔö´ó£»µ±Í¶×ʳ¬¹ý5ÍòԪʱ£¬ÓÉÓÚ²úÆ·µÄ»ýѹ£¬Ëù»ñÀûÈóyA(ÍòÔª)ËæÍ¶×ʽð¶îx(ÍòÔª)µÄÔö´ó¶ø¼õÉÙ£®

ÐÅÏ¢¶þ£ºÈç¹ûµ¥¶ÀͶ×ÊBÖÖ²úÆ·£¬ÔòËù»ñÀûÈóyB(ÍòÔª)ÓëͶ×ʽð¶îx(ÍòÔª)Ö®¼ä´æÔÚ×Ŷþ´Îº¯Êý¹ØÏµ£¬²¢ÇÒµ±Í¶×Ê8ÍòԪʱ£¬»ñÀûyB(ÍòÔª)×î´ó£¬×î´óÀûÈóΪ3.2ÍòÔª£»µ±Í¶×Ê10ÍòԪʱ£¬»ñÀû2.4ÍòÔª£®

ÏÂͼÊǵ÷ÑÐԱСÍõ¸ù¾ÝÊг¡µ÷ÑлæÖƵÄyAÓëxÖ®¼äµÄͼÏó£®

(1)Çë·Ö±ðÇó³öµ±0¡Üx¡Ü5¡¢5¡Üx¡Ü10ʱyAÓëxÖ®¼ä½üËÆµÄº¯Êý¹ØÏµÊ½£»

(2)ÇëÇó³öyBÓëxÖ®¼äµÄº¯Êý¹ØÏµÊ½£»

(3)Èç¹ûÆóҵͬʱͶ×ÊA¡¢BÁ½ÖÖ²úÆ·£¬¹²Í¶×Ê10ÍòÔª£¬ÇëÄãÉè¼ÆÒ»ÖÖͶ×Ê·½°¸£¬Ê¹Ëù»ñ×ÜÀûÈó×î´ó£¬²¢Çó³ö×î´óÀûÈó£®

´ð°¸£º
½âÎö£º

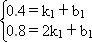
¡¡¡¡(1)µ±0¡Üx¡Ü5ʱ£¬Ë³´ÎÁ¬½Óµã(1£¬0.4)¡¢(2£¬0.8)¡¢(3£¬1.2)¡¢(4£¬1.6)¡¢(5£¬2.0)£¬·¢ÏÖÕâ5¸öµã¶¼ÔÚͬһÌõÖ±ÏßÉÏ£¬ÉèyA£½k1x£«b1¡­¡­¡­¡­¡­¡­1·Ö

½«(1£¬0.4)¡¢(2£¬0.8)´úÈëµÃ

¡¡¡¡

¡¡¡¡ËùÒÔ

¡¡¡¡

¡¡¡¡¼´yA£½0.4x(0¡Üx¡Ü5)¡­¡­¡­¡­¡­¡­¡­¡­¡­¡­2·Ö

¡¡¡¡¢Úµ±5¡Üx¡Ü10ʱ£¬Ë³´ÎÁ¬½Óµã(5£¬2.0)¡¢(6£¬1.7)¡¢(7£¬1.2)¡¢(8£¬0.8)¡¢(9£¬0.4)¡¢(10£¬0)£¬·¢ÏÖ³ýµã(6£¬1.7)ÍâÆäÓà5¸öµã¶¼ÔÚͬһÌõÖ±ÏßÉÏ£¬¹Êº¯Êý¹ØÏµÊ½¿ÉÒÔ½üËÆµÄÉèΪyA£½k2x£«b2¡­¡­¡­¡­¡­¡­¡­¡­¡­¡­3·Ö

¡¡¡¡½«(7£¬1.2)¡¢(8£¬0.8)´úÈëµÃ

¡¡¡¡

¡¡¡¡ËùÒÔ

¡¡¡¡

¡¡¡¡¼´yA£½£­0.4x£«4(5¡Üx¡Ü10)¡­¡­¡­¡­¡­¡­¡­¡­¡­¡­4·Ö

¡¡¡¡(2)ÓÉÌâÒâÉèyB£½a(x£­8)2£«3.2¡­¡­¡­¡­¡­¡­¡­¡­¡­¡­5·Ö

¡¡¡¡µ±x£½10ʱ£¬yB£½2.4´úÈëµÃ

¡¡¡¡2.4£½a(10£­8)2£«3.2

¡¡¡¡ËùÒÔa£½£­0.2¡­¡­¡­¡­¡­¡­¡­¡­¡­¡­6·Ö

¡¡¡¡¼´yB£½£­0.2(x£­8)2£«3.2¡­¡­¡­¡­¡­¡­¡­¡­¡­¡­7·Ö

¡¡¡¡(3)Éè¸ÃÆóҵͶ×ÊAÖÖ²úÆ·xÍòÔª£¬ÄÇôͶ×ÊBÖÖ²úÆ·(10£­x)ÍòÔª£¬Ëù»ñµÄ×ÜÀûÈóΪwÍòÔª£¬ÒÀÌâÒâÓУº

¡¡¡¡¢Ùµ±0¡Üx¡Ü5ʱ£¬w£½yA£«yB£½0.4x£­0.2(10£­x£­8)2£«3.2

¡¡¡¡£½£­0.2(x£­3)2£«4.2¡­¡­¡­¡­¡­¡­¡­¡­8·Ö

¡¡¡¡ºÜÏÔÈ»µ±x£½3ʱ£¬wÓÐ×î´óÖµ4.2¡­¡­¡­¡­¡­¡­¡­¡­¡­¡­¡­¡­9·Ö

¡¡¡¡¢Úµ±5¡Üx¡Ü10ʱ£¬w£½yA£«yB£½£­0.4x£«4£­0.2(10£­x£­8)2£«3.2

¡¡¡¡£½£­0.2(x£­1)2£«6.6¡­¡­¡­¡­¡­¡­¡­¡­¡­¡­¡­¡­10·Ö

¡¡¡¡ÒòΪµ±5¡Üx¡Ü10ʱ£¬wËæxµÄÔö´ó¶ø¼õС£¬ËùÒÔµ±x£½5ʱ£¬wÓÐ×î´óÖµ3.4¡­¡­¡­¡­¡­¡­¡­¡­¡­¡­¡­¡­11·Ö

¡¡¡¡±È½Ï¢Ù¡¢¢ÚÓÐ4.2£¾3.4

¡¡¡¡ËùÒÔ£¬µ±¸ÃÆóҵͶ×ÊAÖÖ²úÆ·3ÍòÔª£¬Í¶×ÊBÖÖ²úÆ·7ÍòԪʱ£¬Ëù»ñµÄ×ÜÀûÈó×î´ó£¬×î´óÀûÈóΪ4.2ÍòÔª£®¡­¡­¡­¡­¡­¡­¡­¡­¡­¡­¡­¡­12·Ö


Á·Ï°²áϵÁдð°¸
Ïà¹ØÏ°Ìâ

¿ÆÄ¿£º³õÖÐÊýѧ À´Ô´£º ÌâÐÍ£º

ijÆóÒµÐÅÏ¢²¿½øÐÐÊг¡µ÷Ñз¢ÏÖ£º
ÐÅÏ¢Ò»£ºÈç¹ûµ¥¶ÀͶ×ÊAÖÖ²úÆ·£¬Ëù»ñÀûÈóyA£¨ÍòÔª£©ÓëͶ×ʽð¶îx£¨ÍòÔª£©Ö®¼ä´æÔÚijÖÖ¹ØÏµµÄ²¿·Ö¶ÔÓ¦ÖµÈçÏÂ±í£º
x£¨ÍòÔª£© 1 2 2.5 3 5
yA£¨ÍòÔª£© 0.4 0.8 1 1.2 2
ÐÅÏ¢¶þ£ºÈç¹ûµ¥¶ÀͶ×ÊBÖÖ²úÆ·£¬ÔòËù»ñÀûÈóyB£¨ÍòÔª£©ÓëͶ×ʽð¶îx£¨ÍòÔª£©Ö®¼ä´æÔÚ¶þ´Îº¯Êý¹ØÏµ£ºyB=ax2+bx£¬ÇÒͶ×Ê2ÍòԪʱ»ñÀûÈó2.4ÍòÔª£¬µ±Í¶×Ê4ÍòԪʱ£¬¿É»ñÀûÈó3.2ÍòÔª£®
£¨1£©Çó³öyBÓëxµÄº¯Êý¹ØÏµÊ½£»
£¨2£©´ÓËùѧ¹ýµÄÒ»´Îº¯Êý¡¢¶þ´Îº¯Êý¡¢·´±ÈÀýº¯ÊýÖÐÈ·¶¨ÄÄÖÖº¯ÊýÄܱíʾyAÓëxÖ®¼äµÄ¹ØÏµ£¬²¢Çó³öyAÓëxµÄº¯Êý¹ØÏµÊ½£»
£¨3£©Èç¹ûÆóҵͬʱ¶ÔA¡¢BÁ½ÖÖ²úÆ·¹²Í¶×Ê15ÍòÔª£¬ÇëÉè¼ÆÒ»¸öÄÜ»ñµÃ×î´óÀûÈóµÄͶ×Ê·½°¸£¬²¢Çó³ö°´´Ë·½°¸ÄÜ»ñµÃµÄ×î´óÀûÈóÊǶàÉÙ£¿

²é¿´´ð°¸ºÍ½âÎö>>

¿ÆÄ¿£º³õÖÐÊýѧ À´Ô´£º ÌâÐÍ£º

ijÆóÒµÐÅÏ¢²¿½øÐÐÊг¡µ÷Ñз¢ÏÖ£º
ÐÅÏ¢Ò»£ºÈç¹ûµ¥¶ÀͶ×ÊAÖÖ²úÆ·£¬ÔòËù»ñÀûÈóyA£¨ÍòÔª£©ÓëͶ×ʽð¶îx£¨ÍòÔª£©Ö®¼ä´æÔÚÕý±ÈÀýº¯Êý¹ØÏµ£ºyA=kx£¬²¢ÇÒµ±Í¶×Ê5ÍòԪʱ£¬¿É»ñÀûÈó2ÍòÔª£»
ÐÅÏ¢¶þ£ºÈç¹ûµ¥¶ÀͶ×ÊBÖÖ²úÆ·£¬ÔòËù»ñÀûÈóyB£¨ÍòÔª£©ÓëͶ×ʽð¶îx£¨ÍòÔª£©Ö®¼ä´æÔÚ¶þ´Îº¯Êý¹ØÏµ£ºyB=ax2+bx£¬²¢ÇÒµ±Í¶×Ê2ÍòԪʱ£¬¿É»ñÀûÈó2.4ÍòÔª£»µ±Í¶×Ê4ÍòÔª£¬¿É»ñÀûÈó3.2ÍòÔª£®
£¨1£©Çë·Ö±ðÇó³öÉÏÊöµÄÕý±ÈÀýº¯Êý±í´ïʽÓë¶þ´Îº¯Êý±í´ïʽ£»
£¨2£©Èç¹ûÆóҵͬʱ¶ÔA¡¢BÁ½ÖÖ²úÆ·¹²Í¶×Ê10ÍòÔª£¬ÇëÄãÉè¼ÆÒ»¸öÄÜ»ñµÃ×î´óÀûÈóµÄͶ×Ê·½°¸£¬²¢Çó³ö°´´Ë·½°¸ÄÜ»ñµÃµÄ×î´óÀûÈóÊǶàÉÙ£¿

²é¿´´ð°¸ºÍ½âÎö>>

¿ÆÄ¿£º³õÖÐÊýѧ À´Ô´£º ÌâÐÍ£º

ijÆóÒµÐÅÏ¢²¿½øÐÐÊг¡µ÷Ñз¢ÏÖ£º

ÐÅÏ¢Ò»£ºÈç¹ûµ¥¶ÀͶ×ÊAÖÖ²úÆ·£¬Ëù»ñÀûÈóy£Á(ÍòÔª)ÓëͶ×ʽð¶îx(ÍòÔª)Ö®¼ä´æÔÚijÖÖ¹ØÏµµÄ²¿·Ö¶ÔÓ¦ÖµÈçÏÂ±í£º

x(ÍòÔª)

1

2

2.5

3

5

y£Á(ÍòÔª)

0.4

0.8

1

1.2

2

ÐÅÏ¢¶þ£ºÈç¹ûµ¥¶ÀͶ×ÊBÖÖ²úÆ·£¬ÔòËù»ñÀûÈóy£Â(ÍòÔª)ÓëͶ×ʽð¶îx(ÍòÔª)Ö®¼ä´æÔÚ¶þ´Îº¯Êý¹ØÏµ£ºy£Â£½ax2+bx£¬ÇÒͶ×Ê2ÍòԪʱ»ñÀûÈó2.4ÍòÔª£¬µ±Í¶×Ê4ÍòԪʱ£¬¿É»ñÀûÈó3.2ÍòÔª£®

(1)Çó³öy£ÂÓëxµÄº¯Êý¹ØÏµÊ½£®

(2)´ÓËùѧ¹ýµÄÒ»´Îº¯Êý¡¢¶þ´Îº¯Êý¡¢·´±ÈÀýº¯ÊýÖÐÈ·¶¨ÄÄÖÖº¯ÊýÄܱíʾy£ÁÓëxÖ®¼äµÄ¹ØÏµ£¬²¢Çó³öy£ÁÓëxµÄº¯Êý¹ØÏµÊ½£®

(3)Èç¹ûÆóҵͬʱ¶ÔA¡¢BÁ½ÖÖ²úÆ·¹²Í¶×Ê15ÍòÔª£¬ÇëÉè¼ÆÒ»¸öÄÜ»ñµÃ×î´óÀûÈóµÄͶ×Ê·½°¸£¬²¢Çó³ö°´´Ë·½°¸ÄÜ»ñµÃµÄ×î´óÀûÈóÊǶàÉÙ£¿

 

²é¿´´ð°¸ºÍ½âÎö>>

¿ÆÄ¿£º³õÖÐÊýѧ À´Ô´£º ÌâÐÍ£º

ijÆóÒµÐÅÏ¢²¿½øÐÐÊг¡µ÷Ñз¢ÏÖ£ºÐÅÏ¢Ò»£ºÈç¹ûµ¥¶ÀͶ×ÊAÖÖ²úÆ·£¬Ëù»ñÀûÈóy£Á(ÍòÔª)ÓëͶ×ʽð¶îx(ÍòÔª)Ö®¼ä´æÔÚijÖÖ¹ØÏµµÄ²¿·Ö¶ÔÓ¦ÖµÈçÏÂ±í£º
x(ÍòÔª)
1
2
2.5
3
5
y£Á(ÍòÔª)
0.4
0.8
1
1.2
2
ÐÅÏ¢¶þ£ºÈç¹ûµ¥¶ÀͶ×ÊBÖÖ²úÆ·£¬ÔòËù»ñÀûÈóy£Â(ÍòÔª)ÓëͶ×ʽð¶îx(ÍòÔª)Ö®¼ä´æÔÚ¶þ´Îº¯Êý¹ØÏµ£ºy£Â£½ax2+bx£¬ÇÒͶ×Ê2ÍòԪʱ»ñÀûÈó2.4ÍòÔª£¬µ±Í¶×Ê4ÍòԪʱ£¬¿É»ñÀûÈó3.2ÍòÔª£®
(1)Çó³öy£ÂÓëxµÄº¯Êý¹ØÏµÊ½£®
(2)´ÓËùѧ¹ýµÄÒ»´Îº¯Êý¡¢¶þ´Îº¯Êý¡¢·´±ÈÀýº¯ÊýÖÐÈ·¶¨ÄÄÖÖº¯ÊýÄܱíʾy£ÁÓëxÖ®¼äµÄ¹ØÏµ£¬²¢Çó³öy£ÁÓëxµÄº¯Êý¹ØÏµÊ½£®
(3)Èç¹ûÆóҵͬʱ¶ÔA¡¢BÁ½ÖÖ²úÆ·¹²Í¶×Ê15ÍòÔª£¬ÇëÉè¼ÆÒ»¸öÄÜ»ñµÃ×î´óÀûÈóµÄͶ×Ê·½°¸£¬²¢Çó³ö°´´Ë·½°¸ÄÜ»ñµÃµÄ×î´óÀûÈóÊǶàÉÙ£¿

²é¿´´ð°¸ºÍ½âÎö>>

¿ÆÄ¿£º³õÖÐÊýѧ À´Ô´£º2013½ìºÓÄÏÊ¡ÖÜ¿ÚÊгõÒ»ÏÂѧÆÚ×ø±ê·½·¨µÄ¼òµ¥Ó¦ÓÃרÌâ²âÑé ÌâÐÍ£º½â´ðÌâ

ijÆóÒµÐÅÏ¢²¿½øÐÐÊг¡µ÷Ñз¢ÏÖ£º

ÐÅÏ¢Ò»£ºÈç¹ûµ¥¶ÀͶ×ÊAÖÖ²úÆ·£¬Ëù»ñÀûÈóy£Á(ÍòÔª)ÓëͶ×ʽð¶îx(ÍòÔª)Ö®¼ä´æÔÚijÖÖ¹ØÏµµÄ²¿·Ö¶ÔÓ¦ÖµÈçÏÂ±í£º

x(ÍòÔª)

1

2

2.5

3

5

y£Á(ÍòÔª)

0.4

0.8

1

1.2

2

ÐÅÏ¢¶þ£ºÈç¹ûµ¥¶ÀͶ×ÊBÖÖ²úÆ·£¬ÔòËù»ñÀûÈóy£Â(ÍòÔª)ÓëͶ×ʽð¶îx(ÍòÔª)Ö®¼ä´æÔÚ¶þ´Îº¯Êý¹ØÏµ£ºy£Â£½ax2+bx£¬ÇÒͶ×Ê2ÍòԪʱ»ñÀûÈó2.4ÍòÔª£¬µ±Í¶×Ê4ÍòԪʱ£¬¿É»ñÀûÈó3.2ÍòÔª£®

(1)Çó³öy£ÂÓëxµÄº¯Êý¹ØÏµÊ½£®

(2)´ÓËùѧ¹ýµÄÒ»´Îº¯Êý¡¢¶þ´Îº¯Êý¡¢·´±ÈÀýº¯ÊýÖÐÈ·¶¨ÄÄÖÖº¯ÊýÄܱíʾy£ÁÓëxÖ®¼äµÄ¹ØÏµ£¬²¢Çó³öy£ÁÓëxµÄº¯Êý¹ØÏµÊ½£®

(3)Èç¹ûÆóҵͬʱ¶ÔA¡¢BÁ½ÖÖ²úÆ·¹²Í¶×Ê15ÍòÔª£¬ÇëÉè¼ÆÒ»¸öÄÜ»ñµÃ×î´óÀûÈóµÄͶ×Ê·½°¸£¬²¢Çó³ö°´´Ë·½°¸ÄÜ»ñµÃµÄ×î´óÀûÈóÊǶàÉÙ£¿

 

²é¿´´ð°¸ºÍ½âÎö>>

ͬ²½Á·Ï°²á´ð°¸