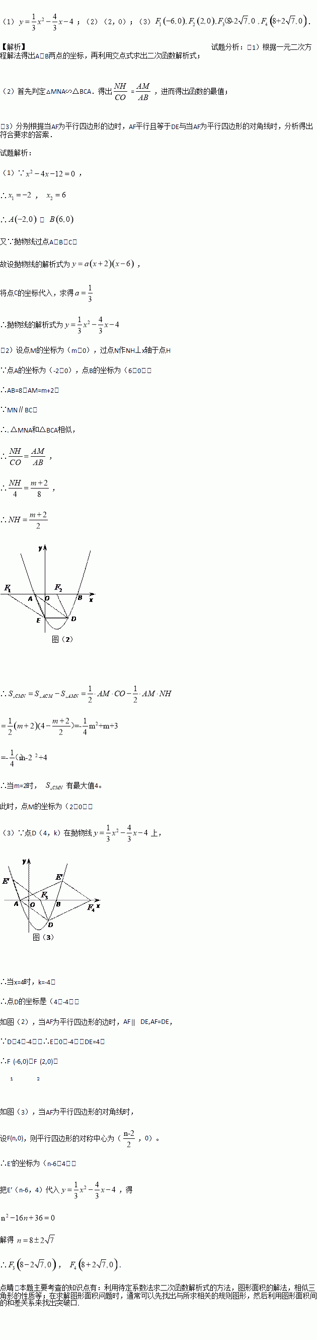
如图,抛物线与
轴交于A(
,0)、B(
,0)两点,且
,与
轴交于点
,其中
,
是方程
的两个根。
(1)求抛物线的解析式;
(2)点M是线段AB上的一个动点,过点M作MN∥BC,交AC于点N,连接CM,当△CMN的面积最大时,求点M的坐标;
(3)点D(4,k)在(1)中抛物线上,点E为抛物线上一动点,在x轴上是否存在点F,使以A、D、E、F为顶点的四边形是平行四边形,如果存在,直接写出所有满足条件的点F的坐标,若不存在,请说明理由。
![]()
![]()
科目:初中数学 来源:2#240602#3#7#17#2017#辽宁省2017届九年级第二次模拟考试数学试卷#17#1 题型:解答题
如图,在△ABC中,∠BAC=30°,以AB为直径的⊙O经过点C.过点C作⊙O的切线交AB的延长线于点P.点D为圆上一点,且
,弦AD的延长线交切线PC于点E,连接BC.
(1)判断OB和BP的数量关系,并说明理由;
(2)若⊙O的半径为2,求AE的长.
![]()
查看答案和解析>>
科目:初中数学 来源:2#240600#3#7#9#2017#湖北武汉市 2017年 九年级数学 中考模拟试卷(含答案)#9#1 题型:选择题
如图,△ABC中,以B为圆心,BC长为半径画弧,分别交AC、AB于D,E两点,并连接BD,DE.若∠A=30°,AB=AC,则∠BDE的度数为何( )
![]()
A.45 B.52.5 C.67.5 D.75
查看答案和解析>>
科目:初中数学 来源:2#240598#3#7#6#2017#广东省中山市小榄镇2017届九年级第一次模拟检测数学试卷#6#1 题型:填空题
据报道,2016年单位就业人员年平均工资超过70300元,将数70300用科学计数法表示为_____.
查看答案和解析>>
科目:初中数学 来源:2#240598#3#7#6#2017#广东省中山市小榄镇2017届九年级第一次模拟检测数学试卷#6#1 题型:单选题
下列图形中,不是轴对称图形的是( )
A.
B.
C.
D. ![]()
查看答案和解析>>
科目:初中数学 来源:2#240593#3#7#17#2017#辽宁省盘锦地区2017年中考二模数学试卷#17#3 题型:解答题
如图,四边形ABCD是边长为2的正方形,点G是BC延长线上一点,连接AG,点E、F分别在AG上,连接BE、DF,∠1=∠2,∠3=∠4.
![]()
(1)证明:△ABE≌△DAF;
(2)若∠AGB=30°,求EF的长.
查看答案和解析>>
科目:初中数学 来源:2#240593#3#7#17#2017#辽宁省盘锦地区2017年中考二模数学试卷#17#3 题型:填空题
如图,PA与⊙O相切,切点为A,PO交⊙O于点C,点B是优弧CBA上一点,若∠ABC==320,则∠P的度数为__________。
![]()
查看答案和解析>>
科目:初中数学 来源:2#240586#1#3#8#2017#山东省滨州市惠民县2016-2017学年七年级下学期第三次月考数学试卷#8#1 题型:解答题
如图,在边长为1的正方形网格内有一直角坐标系,其中,A点为(-3,0),B点为(-1,2)
![]()
(1)C点的坐标为 ;
(2)依次连接ABC得到三角形,将三角形ABC先向右移动3个单位再向下移动2个单位,得到三角形A'B'C',请在图中作出平移后的图形,并写出三个顶点A'、B' 及C' 的坐标;
(3)连接C'C、B'B,直接写出四边形CC' B'B的面积。
查看答案和解析>>
科目:初中数学 来源:2#240611#3#7#15#2017#湖南长沙市 2017年 九年级数学 中考模拟试卷(含答案)#15#1 题型:单选题
如图,已知矩形OABC,A(4,0),C(0,3),动点P从点A出发,沿A﹣B﹣C﹣O的路线勻速运动,设动点P的运动时间为t,△OAP的面积为S,则下列能大致反映S与t之间关系的图象是( )
![]()
A.
B.
C.
D. ![]()
查看答案和解析>>
湖北省互联网违法和不良信息举报平台 | 网上有害信息举报专区 | 电信诈骗举报专区 | 涉历史虚无主义有害信息举报专区 | 涉企侵权举报专区
违法和不良信息举报电话:027-86699610 举报邮箱:58377363@163.com