精英家教网 > 初中数学 > 题目详情

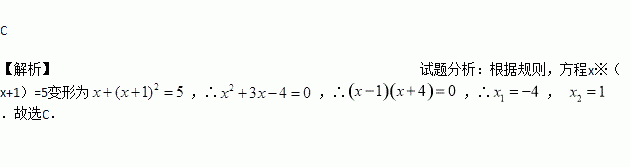
在正数范围内有一种运算“*”,其规则为,根据这个规则,方程的解是 ( )

A. B.

C. D.

练习册系列答案
相关习题

科目:初中数学 来源:九年级数学(浙教版)上册同步练习:1.4 二次函数的应用(三) 题型:填空题

如图,一段抛物线:y=﹣x(x﹣3)(0≤x≤3),记为C1,它与x轴交于点O,A1;

将C1绕点A1旋转180°得C2,交x轴于点A2;

将C2绕点A2旋转180°得C3,交x轴于点A3;

如此进行下去,直至得C13.若P(37,m)在第13段抛物线C13上,则m=______.

查看答案和解析>>

科目:初中数学 来源:江苏省2016-2017学年八年级5月单元测试数学试卷 题型:解答题

计算:(1)-+ ;(2)

查看答案和解析>>

科目:初中数学 来源:江苏省2016-2017学年八年级5月单元测试数学试卷 题型:选择题

下列计算正确的是(   )

A. B. C. D.

查看答案和解析>>

科目:初中数学 来源:安徽省合肥市中铁国际城校区2016-2017学年八年级下学期第一次月考数学试卷 题型:填空题

如果一元二次方程没有实数根,则一次函数不经过第_________ 象限

查看答案和解析>>

科目:初中数学 来源:安徽省合肥市中铁国际城校区2016-2017学年八年级下学期第一次月考数学试卷 题型:单选题

方程中,关于的说法正确的是( )

A. B.

C. D.

查看答案和解析>>

科目:初中数学 来源:云南昆明市 2017年九年级数学中考模拟试卷(含答案) 题型:解答题

为推广阳光体育“大课间”活动,某中学决定在学生中开设A:实心球,B:立定跳远,C:跳绳,D:跑步四种活动项目.为了了解学生对四种项目的喜欢情况,随机抽取了部分学生进行调查,并将调查结果绘制成如图①②的统计图.请结合图中的信息解答下列问题:

(1)在这项调查中,共调查了多少名学生?

(2)请计算本项调查中喜欢“立定跳远”的学生人数和所占百分比,并将两幅统计图中的B补充完整;

(3)若调查到喜欢“跳绳”的5名学生中有3名男生,2名女生.现从这5名学生中任意抽取2名学生.请用画树状图或列表的方法,求出刚好抽到同性别学生的概率.

查看答案和解析>>

科目:初中数学 来源:云南昆明市 2017年九年级数学中考模拟试卷(含答案) 题型:填空题

一个多边形的内角和比外角和的3倍多180°,则它的边数是______.

查看答案和解析>>

科目:初中数学 来源:安徽合肥市 2017年九年级数学中考模拟试卷(含答案) 题型:单选题

函数y=x+x-1 的图象如图所示,下列对该函数性质的论断不可能正确的是( )

A. 该函数的图象是中心对称图形

B. 当x>0时,该函数在x=1时取得最小值2

C. 在每个象限内,y的值随x值的增大而减小

D. y的值不可能为1

查看答案和解析>>

同步练习册答案