精英家教网 > 初中数学 > 题目详情
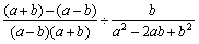
先化简,再求值:
,其中
解:原式=
=
=
时,原式=
练习册系列答案
相关习题

科目:初中数学 来源: 题型:

先化简,再求值:
2a-6
a-2
÷(
5
a-2
-a-2)
,其中a=-3
1
2

查看答案和解析>>

科目:初中数学 来源: 题型:

21、先化简,再求值:3x2+(2-3x-x2)-(x2+x-1),其中x=-1.

查看答案和解析>>

科目:初中数学 来源: 题型:

计算:(1)
2
(2cos45°-sin60°)+
24
4

(2)先化简,再求值
a2-1
a+3
÷
a+1
2
,其中a=2tan60°-3.

查看答案和解析>>

科目:初中数学 来源: 题型:

(1)先化简,再求值:(x-
x
x+1
)
÷(1+
1
x2-1
)
,其中x=
3
-1.
(2)解分式方程:解方程:
1
x-2
+3=
x-1
2-x

(3)解不等式组
x-2
3
+3<x-1  ①
1-3(x+1)≥6-x   ②

查看答案和解析>>

科目:初中数学 来源: 题型:

先化简,再求值:-9y+6x2-3(y-
23
x2)
,其中x=2,y=-1.

查看答案和解析>>

同步练习册答案