精英家教网 > 初中数学 > 题目详情

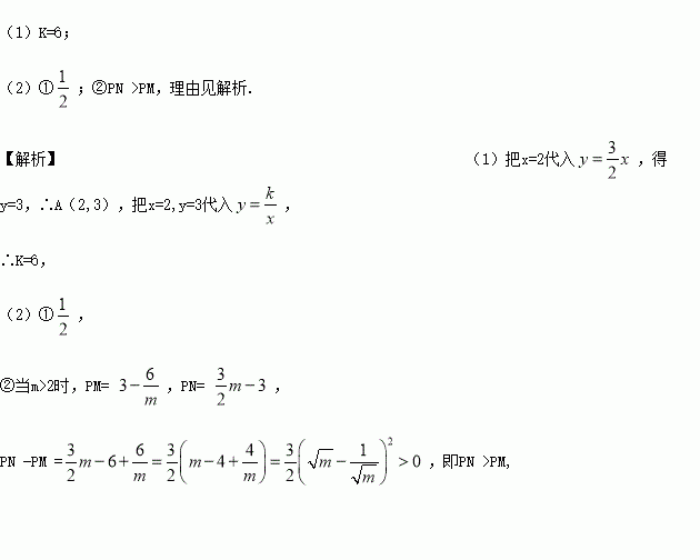
直线与双曲线的交点A的横坐标为2.

(1)求k的值;

(2)当m>2时,如图,过点P(m,3)作x轴的垂线交与双曲线(k>0)于点M,交直线OA于点N.

①连接OM,当OA=OM时,PN-PM的值为

②试比较PM与PN的大小,并证明你的结论.

练习册系列答案
相关习题

科目:初中数学 来源:浙江省永康市毕业生适应性考试数学试卷及答案(word版) 题型:解答题

先化简,再求值

查看答案和解析>>

科目:初中数学 来源:[首发]山东省德州市2016-2017学年七年级5月月考数学试卷 题型:单选题

已知是有理数,下列各式中正确的是( )

A. B. C. D.

查看答案和解析>>

科目:初中数学 来源:湖南省永州市祁阳县2017届九年级第五次模拟考试数学试卷 题型:单选题

观察下列一组图形,其中图形①中共有2颗星,图形②中共有6颗星,图形③中共有 11颗星,图形④中共有17颗星,…,按此规律,图形⑧中星星的颗数是(  )

A. 53 B. 51 C. 45 D. 43

查看答案和解析>>

科目:初中数学 来源:湖南省永州市祁阳县2017届九年级第五次模拟考试数学试卷 题型:单选题

已知一粒大米的质量约为0.000021千克,这个数用科学记数法表示为( )

A. 0.21×10-4 B. 2.1×10-4? C. 2.1×10-5 D. 21×10-6

查看答案和解析>>

科目:初中数学 来源:江苏省句容市、丹阳市2017届九年级下学期中考网上阅卷第二次适应性检测(二模)数学试卷 题型:解答题

某校举办校级篮球赛,进入决赛的队伍有A、B、C、D,要从中选出两队打一场比赛.

(1)若已确定A打第一场,再从其余三队中随机选取一队,求恰好选中D队的概率.

(2)请用画树状图或列表法,求恰好选中B、C两队进行比赛的概率

查看答案和解析>>

科目:初中数学 来源:江苏省句容市、丹阳市2017届九年级下学期中考网上阅卷第二次适应性检测(二模)数学试卷 题型:单选题

由六个相同的立方体搭成的几何体如图所示,下面有关它的视图的说法正确的是( )

A. 左视图与主视图相同 B. 俯视图与主视图相同

C. 左视图与俯视图相同 D. 三个视图都相同

查看答案和解析>>

科目:初中数学 来源:山东省淄博市博山区2017届中考一模数学试卷 题型:解答题

在一次社会调查活动中,小华收集到某“健步走运动”团队中20名成员一天行走的步数,记录如下:

5640 6430 6520 6798 7325

8430 8215 7453 7446 6754

7638 6834 7326 6830 8648

8753 9450 9865 7290 7850

对这20个数据按组距1000进行分组,并统计整理,绘制了如下尚不完整的统计图表:

步数分组统计表

组别

步数分组

频数

A

5500≤x<6500

2

B

6500≤x<7500

10

C

7500≤x<8500

m

D

8500≤x<9500

3

E

9500≤x<10500

n

请根据以上信息解答下列问题:

(1)求m,n的值;

(2)补全频数分布直方图;

(3)这20名“健步走运动”团队成员一天行走步数的中位数落在哪一组?

(4)若该团队共有120人,请估计其中一天行走步数不少于7500步的人数.

查看答案和解析>>

科目:初中数学 来源:江西省吉安市2017届九年级下学期六校联考数学试卷 题型:单选题

下列计算中正确的是(  )

A. a•a2=a2 B. 2a•a=2a2 C. (2a2)2=2a4 D. 6a8÷3a2=3a4

查看答案和解析>>

同步练习册答案