精英家教网 > 初中数学 > 题目详情

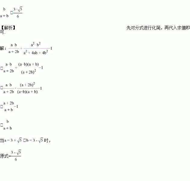
化简求值:,其中

练习册系列答案
相关习题

科目:初中数学 来源:[中学联盟]江苏省扬州市翠岗中学2017届九年级中考二模数学试卷 题型:填空题

若关于x的一元二次方程x2﹣x﹣m=0的一个根是x=1,则m的值是____.

查看答案和解析>>

科目:初中数学 来源:湖北省黄冈市2017年中考模拟试卷数学E卷(含答案) 题型:解答题

已知抛物线经过点A(-3, 0),F(8, 0),B(0, 4)三点.

(1)求抛物线解析式及对称轴.

(2)若点D在线段FB上运动(不与F,B重合),过点D作DC⊥轴于点C(x, 0),将△FCD沿CD向左翻折,点B对应点为点E, △CDE与△FBO重叠部分面积为S.

①试求出S与x之间的函数关系式,并写出自变量取值范围.

②是否存在这样的点C,使得△BDE为直角三角形,若存在,求出C点坐标,若不存在,请说明理由;

(3)抛物线对称轴上有一点M,平面内有一点N,若以A,B,M,N四点组成的四边形为菱形,求点N的坐标;

查看答案和解析>>

科目:初中数学 来源:湖北省黄冈市2017年中考模拟试卷数学E卷(含答案) 题型:填空题

在函数y=,自变量x的取值范围是

查看答案和解析>>

科目:初中数学 来源:[首发]广东省深圳市南山区2017届九年级第三次模拟考试数学试卷 题型:解答题

在△ABC中,∠A=90°,AB=4,AC=3,M是AB上的动点(不与A,B重合),过M点作MN∥BC交AC于点N.以MN为直径作⊙O,并在⊙O内作内接矩形AMPN.令AM=x.

(1)用含x的代数式表示△MNP的面积S;

(2)当x为何值时,⊙O与直线BC相切?

(3)在动点M的运动过程中,记△MNP与梯形BCNM重合的面积为y,试求y关于x的函数表达式,并求x为何值时,y的值最大,最大值是多少?

查看答案和解析>>

科目:初中数学 来源:[首发]广东省深圳市南山区2017届九年级第三次模拟考试数学试卷 题型:填空题

分解因式: =______;

查看答案和解析>>

科目:初中数学 来源:[首发]广东省深圳市南山区2017届九年级第三次模拟考试数学试卷 题型:单选题

在平面直角坐标系中,若点P(m-3,m+1)在第二象限,则m的取值范围为( )

A. -1<m<3 B. m>3 C. m<-1 D. m>-1

查看答案和解析>>

科目:初中数学 来源:湖北省黄冈市2017届九年级中考模拟数学试卷(D卷) 题型:填空题

用一个直径为10cm的玻璃球和一个圆锥形的牛皮纸纸帽制作一个不倒翁玩具,不倒翁的轴截面如图所示,圆锥的母线AB与⊙O相切于点B,不倒翁的顶点A到桌面L的最大距离是18cm.若将圆锥形纸帽表面全涂上颜色,则涂色部分的面积为_____cm2.

查看答案和解析>>

科目:初中数学 来源:辽宁省盘锦市2017年中考三模数学试卷 题型:解答题

由于雾霾天气趋于严重,我市某电器商城根据民众健康需求,代理销售某种家用空气净化器,其进价是200元/台.经过市场销售后发现:在一个月内,当售价是400元/台时,可售出200台,且售价每降低10元,就可多售出50台.若供货商规定这种空气净化器售价不能低于300元/台,代理销售商每月要完成不低于450台的销售任务.

(1)完成下列表格,并直接写出月销售量y(台)与售价x(元/台)之间的函数关系式及售价x的取值范围;

售价(元/台)

月销售量(台)

400

200

250

x

(2)当售价x(元/台)定为多少时,商场每月销售这种空气净化器所获得的利润w(元)最大?最大利润是多少?

查看答案和解析>>

同步练习册答案