精英家教网 > 初中数学 > 题目详情
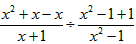
先将代数式化简,再从-3<x<3的范围内选取一个合适的整数x代入求值。 
解:原式=


当x=2时,原式=2-1=1。(注:x取2或-2中的任一个,代入求值均可)
练习册系列答案
相关习题

科目:初中数学 来源: 题型:

(2011湖北宜昌,16,7分)先将代数式化简,再从-1,1两数中选取一个适当的数作为的值代入求值.

 

查看答案和解析>>

科目:初中数学 来源: 题型:

先将代数式化简,再从-1,1两数中选取一个适当的数作为x的值代入求值.

 

查看答案和解析>>

科目:初中数学 来源: 题型:

先将代数式化简,再从-1,1两数中选取一个适当的数作为x的值代入求值.

查看答案和解析>>

科目:初中数学 来源:2012学年人教版中考数学第一轮复习分式专项训练 题型:计算题

(2011湖北宜昌,16,7分)先将代数式化简,再从-1,1两数中选取一个适当的数作为的值代入求值.

查看答案和解析>>

科目:初中数学 来源:2011-2012学年江苏省泰州市白马中学八年级下学期第一次月考数学卷(带解析) 题型:计算题

(8分) 先将代数式化简,再从的范围内选取一个合适的整数代入求值.

查看答案和解析>>

同步练习册答案