精英家教网 > 初中数学 > 题目详情

北京时间分,科学家宣布:人类首次直接探测到了引力波,印证了爱因斯坦年前的预言.引力波探测器的主要部分是两个互相垂直的长臂,每个臂长米,数据用科学记数法表示为( ).

A. B. C. D.

练习册系列答案
相关习题

科目:初中数学 来源:2017年苏州市毕业暨升学考试数学全真模拟试卷(一)及答案 题型:解答题

王师傅检修一条长600米的自来水管道,计划用若干小时完成,在实际检修过程中,每小时检修管道长度是原计划的1.2倍,结果提前2小时完成任务,王师傅原计划每小时检修管道多少米?

查看答案和解析>>

科目:初中数学 来源:河南省招生考试全真模拟数学试卷word版有答案 题型:单选题

如图,直线AB、CD相交于点E,EF⊥AB于E,若∠CEF=59°,则∠AED的度数为(  )

A. 149° B. 121° C. 95° D. 31°

查看答案和解析>>

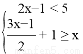
科目:初中数学 来源:江苏省苏州市2016-2017学年九年级下学期二模数学试卷 题型:填空题

不等式组的最大整数解是__________.

查看答案和解析>>

科目:初中数学 来源:江苏省苏州市2016-2017学年九年级下学期二模数学试卷 题型:单选题

五张标有的卡片,除数字外,其它没有任何区别,现将它们背面朝上,从中任取一张,得到卡片的数字为偶数的概率是( ).

A. B. C. D.

查看答案和解析>>

科目:初中数学 来源:江苏省2017年中考数学专题练习《平面直角坐标系》 题型:填空题

已知点P的坐标为(5,a),且点P在第二、四象限角平分线上,则a=

查看答案和解析>>

科目:初中数学 来源:江苏省2017年中考数学专题练习《平面直角坐标系》 题型:单选题

在平面直角坐标系中,已知点A(2,3),则点A关于x轴的对称点坐标为( )

A. (3,2) B. (2, ) C. (,3) D. (

查看答案和解析>>

科目:初中数学 来源:江苏省2017年中考数学专题练习《平面直角坐标系》 题型:填空题

各象限内点的坐标的特征

点P(x,y)在第___象限

点P(x,y)第___象限在

点P(x,y)在第___象限

点P(x,y)在第___象限

查看答案和解析>>

科目:初中数学 来源:河南省2017年中考数学押题试卷(二) 题型:填空题

计算:(﹣)﹣2+(﹣2017)0=_____.

查看答案和解析>>

同步练习册答案