科目:初中数学 来源:天津市 2017年九年级数学中考模拟试卷(含答案) 题型:单选题
已知反比例函数
,当1<x<2时,y的取值范围是( )
A. 0<y<5 B. 1<y<2 C. 5<y<10 D. y>10
查看答案和解析>>
科目:初中数学 来源:山东省2016-2017学年七年级下学期期末数学试卷 题型:解答题
为了解某校九年级学生的身高情况,随机抽取部分学生的身高进行调查,利用所得数据绘成如图统计图表: 频数分布表
身高分组 | 频数 | 百分比 |
x<155 | 5 | 10% |
155≤x<160 | a | 20% |
160≤x<165 | 15 | 30% |
165≤x<170 | 14 | b |
x≥170 | 6 | 12% |
总计 | 100% |
![]()
(1)填空:a= ,b= ;
(2)补全频数分布直方图;
(3)该校九年级共有600名学生,估计身高不低于165cm的学生大约有多少人?
查看答案和解析>>
科目:初中数学 来源:山东省2016-2017学年七年级下学期期末数学试卷 题型:单选题
若一个三角形的两边长分别为3和7,则第三边长可能是( )
A. 6 B. 3 C. 2 D. 11
查看答案和解析>>
科目:初中数学 来源:山东省威海市文登区八校(五四学制)2016-2017学年七年级下学期期中考试数学试卷 题型:解答题
甲乙两地相距120千米,一辆汽车和一辆摩托车从两地同时出发相向而行,1.2小时相遇.相遇后,摩托车继续前进,汽车在相遇处停留10分钟后原速返回,结果在第一次相遇后半小时再次遇到摩托车,问汽车、摩托车每小时各行驶多少千米?
查看答案和解析>>
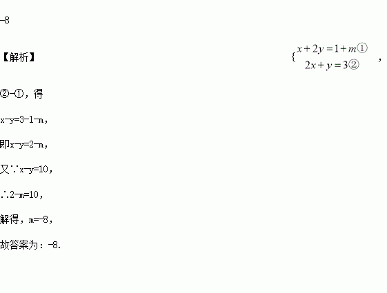
科目:初中数学 来源:山东省威海市文登区八校(五四学制)2016-2017学年七年级下学期期中考试数学试卷 题型:单选题
三元一次方程组
消去一个未知数后,所得二元一次方程组是( )
A.
B.
C.
D. ![]()
查看答案和解析>>
科目:初中数学 来源:山东省威海市文登区八校(五四学制)2016-2017学年七年级下学期期中考试数学试卷 题型:单选题
下列事件中,发生概率最小的事件的是( )
A. 掷一枚普通正六面体骰子所得点数不超过6 ;
B. 买一张体育彩票中一等奖;
C. 从实数
中随机抽取一个数恰好是有理数;
D. 口袋中装有10 个红球,从中摸出一个是白球.
查看答案和解析>>
科目:初中数学 来源:安徽省宣城市2016-2017学年八年级(下)期末模拟数学试卷(含答案) 题型:单选题
已知:如图,在菱形ABCD中,F为边AB的中点,DF与对角线AC交于点G,过G作GE⊥AD于点E,若AB=2,且∠1=∠2,则下列结论正确个数的有( )
①DF⊥AB;②CG=2GA;③CG=DF+GE;④S四边形BFGC=
﹣1.
![]()
A. 1 B. 2 C. 3 D. 4
查看答案和解析>>
科目:初中数学 来源:天津市 2017年九年级数学中考模拟试卷(含答案) 题型:填空题
若三角形的某一边长等于其外接圆半径,则将此三角形称为等径三角形,该边所对的角称为等径角.已知△ABC是等径三角形,则等径角的度数为 .
查看答案和解析>>
湖北省互联网违法和不良信息举报平台 | 网上有害信息举报专区 | 电信诈骗举报专区 | 涉历史虚无主义有害信息举报专区 | 涉企侵权举报专区
违法和不良信息举报电话:027-86699610 举报邮箱:58377363@163.com