精英家教网 > 初中数学 > 题目详情
如图,P是边长为1的正方形ABCD对角线AC上一动点(P与A、C不重合),点E在射线BC上,PE=PB.
(1)求证:①PE=PD; ②PE⊥PD;
(2)设AP=x,△PBE的面积为y.求出y关于x的函数关系式.
解:①∵四边形ABCD是正方形,AC为对角线,
∴BC=DC,∠BCP=∠DCP=45°.
∵PC=PC,
∴△PBC≌△PDC(SAS).
∴PB=PD,∠PBC=∠PDC.
又∵PB=PE,
∴PE=PD.
②(i)当点E在线段BC上(E与B、C不重合)时,
∵PB=PE,
∴∠PBE=∠PEB,
∴∠PEB=∠PDC,
而∠PEB+∠PEC=180°,
∴∠PDC+∠PEC=180°,
∴∠DPE=360°﹣(∠BCD+∠PDC+∠PEC)=90°,
∴PE⊥PD.
(ii)当点E与点C重合时,点P恰好在AC中点处,此时,PE⊥PD.
(iii)当点E在BC的延长线上时,如图.

∵∠PEC=∠PDC,∠1=∠2,
∴∠DPE=∠DCE=90°,
∴PE⊥PD.
综合(i)(ii)(iii),PE⊥PD;
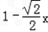
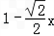
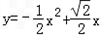
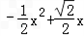
(2)过点P作PF⊥BC,垂足为F,则BF=FE.
∵AP=x,AC=,∠ACB=45°,PF⊥BC,
∴PC=﹣x,PF=FC=
BF=FE=1﹣FC=1﹣()=
∴S△PBE=EB·FP=BF·PF=)=
(0<x<).

练习册系列答案
相关习题

科目:初中数学 来源: 题型:

14、如图,O是边长为6的等边三角形ABC内的任意一点,且OD∥BC,交AB于点D,OF∥AB,交AC于F,OE∥AC,交BC于E.则OD+OE+OF的值(  )

查看答案和解析>>

科目:初中数学 来源: 题型:

精英家教网如图,⊙O是边长为2的等边三角形ABC的内切圆,则图中阴影部分的面积为
 

查看答案和解析>>

科目:初中数学 来源: 题型:

精英家教网如图,△AOB是边长为5的等边三角形,则A,B两点的坐标分别是A
 
,B
 

查看答案和解析>>

科目:初中数学 来源: 题型:

精英家教网如图,M是边长为2cm的正方形ABCD的边AD的中点,E、F分别是AB、CM的中点.则EF=
 
cm.

查看答案和解析>>

科目:初中数学 来源: 题型:

如图,△ABC是边长为6的等边三角形,AD=2,AE∥BC,直线BD交AE于点E,则BE的长为(  )

查看答案和解析>>

同步练习册答案