精英家教网 > 初中数学 > 题目详情
如图①,梯形ABCD中,DC∥AB,DE⊥AB于点E。
阅读理解:在图①中,延长梯形ABCD的两腰AD、BC交于点P,过点D作DF∥CB交AB于点F,得到图②;四边形BCDF的面积为S,△ADF的面积S1,△PDC的面积S2

解决问题:
(1)在图②中,若DC=2,AB=8,DE=3,则S=_____,S1=_____,S2=_____;
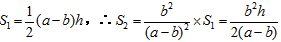
(2)在图②中,若AB=a,DC=b,DE=h,则=_____,并写出理由;
拓展应用:如图③,□DEFC的四个顶点在△PAB的三边上,若△PDC、△ADE、△CFB的面积分别为2、3、5,试利用(2)中的结论求△PAB的面积。

解:解决问题
(1)6,9,1;
(2)4;
理由:∵DF∥CB,DC∥AB,
∴四边形BCDF为平行四边形,
∴△PDC∽△ADF,BF=DC=b,



∵S=bh,,∴=4;
(3)过点D作DH∥PB交AB于H,则四边形BCDH为平行四边形,
,DC=BH,
∵四边形DEFC为平行四边形,∴DC=EF,∴BH=EF,
∴BF=HE,∴
∴△ADH的面积为5+3=8,
由(2)得,□BCDH的面积为
∴△ABC的面积为2+8+8=18。
练习册系列答案
  • 中考核心考点模块专训系列答案
  • B卷必刷系列答案
  • 巧练提分系列答案
  • 浙江省初中毕业生学业考试真题试卷集系列答案
  • 试吧大考卷45分钟课堂作业与单元测试卷系列答案
  • 单元双测单元提优专题复习系列答案
  • 初中文言文详解与阅读系列答案
  • 课时练同步训练与测评系列答案
  • 名师伴你行小学生10分钟应用题天天练系列答案
  • 小学数学计算高手每日10分钟系列答案
  • 年级 高中课程 年级 初中课程
    高一 高一免费课程推荐! 初一 初一免费课程推荐!
    高二 高二免费课程推荐! 初二 初二免费课程推荐!
    高三 高三免费课程推荐! 初三 初三免费课程推荐!
    相关习题

    科目:初中数学 来源: 题型:

    如图,在梯形ABCD中,AD∥BC,AB=DC=AD,AC=BC,求∠ACB的度数.

    查看答案和解析>>

    科目:初中数学 来源: 题型:

    如图,在梯形ABCD中,AD∥BC,BC=30cm,动点M从A点开始沿AD边向D以1cm/s的速度运动,动点N从C点开始沿CB边向B以3cm/s的速度运动,M、N分别从A、C同时出发,当其中一点到端点时,另一点也随之停止运动,设运动时间为t s,t为何值时,四边形ABNM是平行四边形?

    查看答案和解析>>

    科目:初中数学 来源: 题型:

    如图,在梯形ABCD中,AD∥BC,AB=DC,∠ACB=40°,∠ACD=30°,则∠B=
    70
    70
    °,∠D=
    110
    110
    °.

    查看答案和解析>>

    科目:初中数学 来源: 题型:

    精英家教网如图,在梯形ABCD中,AB∥CD,AD=BC,AC⊥BD,AB+CD=20,求梯形ABCD的面积.

    查看答案和解析>>

    科目:初中数学 来源: 题型:

    如图,等腰梯形ABCD中,AD=2,BC=6,高DF=2,则腰长DC=
    2
    2
    2
    2

    查看答案和解析>>

    同步练习册答案