精英家教网 > 初中数学 > 题目详情

一艘轮船在静水中的最大航速为30千米/时,它沿江以最大航速顺流航行100千米所用时间,与以最大航速逆流航行60千米所用时间相等,江水的流速为多少?设江水的流速为千米/时,则可列方程( )

A. B.

C. D.

练习册系列答案
相关习题

科目:初中数学 来源:江苏省泰兴市2016-2017学年八年级下学期期末考试数学试卷 题型:解答题

如图,已知菱形ABCD的对角线AC 、BD相交于点O,延长AB至点E,使BE=AB,连接CE.

(1)求证:四边形BECD是平行四边形;

(2)若∠E=60°,AC=,求菱形ABCD的面积.

查看答案和解析>>

科目:初中数学 来源:江苏省兴化市顾庄学区三校2016-2017学年八年级下学期期末考试数学试卷 题型:填空题

当a =_____时,分式的值为-4.

查看答案和解析>>

科目:初中数学 来源:四川省巴中市南江县2016-2017学年八年级下学期期末考试数学试卷 题型:解答题

(-1)3+(2012-)0-

查看答案和解析>>

科目:初中数学 来源:四川省巴中市南江县2016-2017学年八年级下学期期末考试数学试卷 题型:填空题

若点P()、Q()关于原点对称,则=_____________。

查看答案和解析>>

科目:初中数学 来源:四川省巴中市南江县2016-2017学年八年级下学期期末考试数学试卷 题型:单选题

在同一平面直角坐标系中,函数<0)的图象大致是(   ).

A. B. C. D.

查看答案和解析>>

科目:初中数学 来源:四川省金堂县2016-2017学年八年级下学期期末考试数学试卷 题型:填空题

一组正方形按如图所示的方式放置,其中顶点B1在y轴上,顶点C1,E1,E2,C2,E3,E4,C3……在x轴上,已知正方形A1B1C1D1的边长为1,∠B1C1O=60°,B1C1∥B2C2∥B3C3……则正方形A2017B2017C2017D2017的边长是____;

查看答案和解析>>

科目:初中数学 来源:四川省金堂县2016-2017学年八年级下学期期末考试数学试卷 题型:单选题

如图,在△ABC中,AC=10,BC=8,AB垂直平分线交AB于点M,交AC于点D,则△BDC的周长为( )

A. 14 B. 16 C. 18 D. 20

查看答案和解析>>

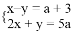
科目:初中数学 来源:江苏省盐城市2015-2016学年七年级下学期期末考试数学试卷 题型:解答题

已知关于x、y的方程组为常数.

(1)求方程组的解;

(2)若方程组的解x>y>0,求a的取值范围.

查看答案和解析>>

同步练习册答案