精英家教网 > 初中数学 > 题目详情
已知:如图,△ABC中,AC=12cm,AB=16cm,
(1)求AB边上的高CD
(2)求△ABC的面积S
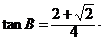
(3)求tanB
解:(1)CDAC·sinA=4cm;
(2)
(3)
练习册系列答案
相关习题

科目:初中数学 来源: 题型:

17、已知,如图,△ABC中,∠BAC=90°,AD⊥BC于点D,BE平分∠ABC,交AD于点M,AN平分∠DAC,交BC于点N.
求证:四边形AMNE是菱形.

查看答案和解析>>

科目:初中数学 来源: 题型:

已知:如图,∠ABC、∠ACB 的平分线相交于点F,过F作DE∥BC于D,交AC 于E,且AB=6,AC=5,求三角形ADE的周长.

查看答案和解析>>

科目:初中数学 来源: 题型:

已知:如图,△ABC是等边三角形,点D在AB上,点E在AC的延长线上,且BD=CE,DE交BC于F,求证:BF=CF+CE.

查看答案和解析>>

科目:初中数学 来源: 题型:

已知:如图,△ABC中,AB=AC=10,BC=16,点D在BC上,DA⊥CA于A.
求:BD的长.

查看答案和解析>>

科目:初中数学 来源: 题型:

已知:如图,△ABC中,AD⊥BC,BD=DE,点E在AC的垂直平分线上.
(1)请问:AB、BD、DC有何数量关系?并说明理由.
(2)如果∠B=60°,请问BD和DC有何数量关系?并说明理由.

查看答案和解析>>

同步练习册答案