精英家教网 > 初中数学 > 题目详情

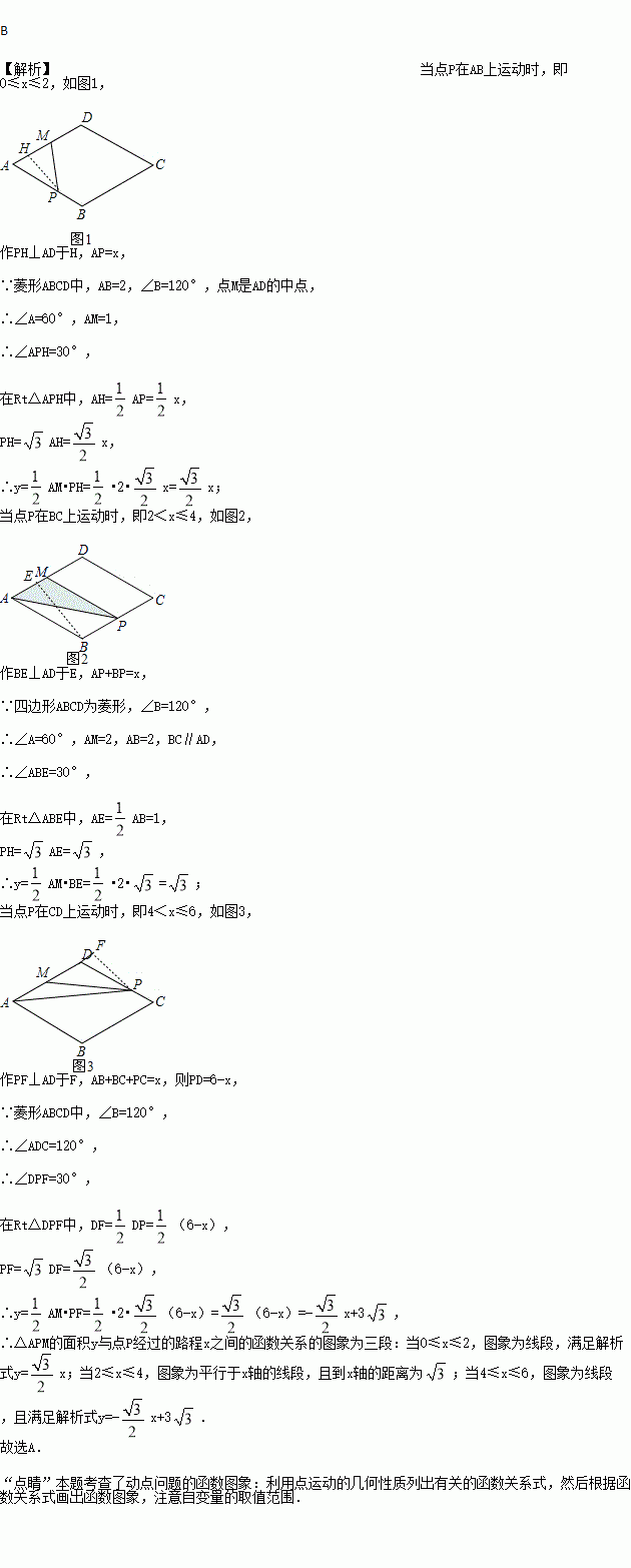
如图,菱形ABCD中,AB=2,∠B=120°,点M是AD的中点,点P由点A出发,沿A→B→C→D作匀速运动,到达点D停止,则△APM的面积y与点P经过的路程x之间的函数关系的图象大致是(  )

A. B. C. D.

练习册系列答案
相关习题

科目:初中数学 来源:福建省莆田市2016届九年级数学能力达标练习03 题型:单选题

如图是将正方体切去一个角后形成的几何体,则该几何体的左视图为( )

A. B. C. D.

查看答案和解析>>

科目:初中数学 来源:内蒙古赤峰市宁城县2016-2017学年七年级下学期期末考试数学试卷 题型:填空题

是关于a,b的二元一次方程ax+ay-b=7的一个解,则代数式x2+2xy+y2-1的值是_________.

查看答案和解析>>

科目:初中数学 来源:广东省汕头市潮阳区2016-2017学年八年级下学期期末考试数学试卷(WORD版) 题型:解答题

某地为了鼓励居民节约用水,决定实行两级收费制,即每月用水量不超过14吨(含14吨)时,每吨按政府补贴优惠价收费;每月超过14吨时,超过部分每吨按市场调节价收费.小英家1月份用水20吨,交水费29元;2月份用水18吨,交水费24元.

(1)求每吨水的政府补贴优惠价和市场调节价分别是多少?

(2)设每月用水量为吨,应交水费为y元,写出y与之间的函数关系式;

(3)小英家3月份用水24吨,她家应交水费多少元?

查看答案和解析>>

科目:初中数学 来源:广东省汕头市潮阳区2016-2017学年八年级下学期期末考试数学试卷(WORD版) 题型:填空题

如图,在平面直角坐标系中有一个边长为1的正方形OABC,边OA,OC分别在x轴、y轴上,如果以对角线OB为边作第二个正方形OBB1C1,再以对角线OB1为边作第三个正方形OB1B2C2,…,照此规律作下去,则点B6的坐标为_____.

查看答案和解析>>

科目:初中数学 来源:广东省汕头市潮阳区2016-2017学年八年级下学期期末考试数学试卷(WORD版) 题型:单选题

若一个等腰直角三角形的面积为8,则这个等腰三角形的直角边长为(  )

A. 2 B. 4 C. 4 D. 8

查看答案和解析>>

科目:初中数学 来源:江西省景德镇市2016-2017学年度下学期期末质量检测试卷七年级数学及标准答案 题型:解答题

已知:∠MON=80°,OE平分∠MON,点A、B、C分别是射线OM、OE、ON上的动点(A、B、C不与点O重合),连接AC交射线OE于点D.设∠OAC=α.

(1)如图1,若AB∥ON,则:

①∠ABO的度数是

②如图2,当∠BAD=∠ABD时,试求α的值(要说明理由);

(2)如图3,若AB⊥OM,则是否存在这样的x的值,使得△ADB中有两个相等的角?若存在,直接写出α的值;若不存在,说明理由.(自己画图)

查看答案和解析>>

科目:初中数学 来源:江西省景德镇市2016-2017学年度下学期期末质量检测试卷七年级数学及标准答案 题型:单选题

如图,点A,B在直线m上,点P在直线m外,点Q是直线m上异于点A,B的任意一点,则下列说法或结论正确的是( )

A. 射线AB和射线BA表示同一条射线

B. 线段PQ的长度就是点P到直线m的距离

C. 连接AP,BP,则AP+BP>AB

D. 不论点Q在何处,AQ=AB-BQ或AQ=AB+BQ

查看答案和解析>>

科目:初中数学 来源:北京市石景山区2016-2017学年八年级下学期期末考试数学试卷 题型:填空题

已知一次函数轴, 轴分别交于点,点,若,则的值是_____________.

查看答案和解析>>

同步练习册答案