精英家教网 > 初中数学 > 题目详情
在半径为1的⊙O中,弦AB=,AC=,求∠BAC的度数。
解:分两种情况:
(1)当AB、AC在圆心O的同侧时,如图1所示

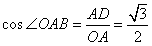
过点O作OD⊥AB于D,连结OA



同理可求:

(2)当AB、AC在圆心O的异侧时,如图2所示

同理可求:
练习册系列答案
相关习题

科目:初中数学 来源: 题型:

在半径为5的圆中,弧所对的圆心角为90°,则弧所对的弦长是
 

查看答案和解析>>

科目:初中数学 来源: 题型:

9、在半径为9cm的圆中,60°的圆心角所对的弦长为
9
cm.

查看答案和解析>>

科目:初中数学 来源: 题型:

在半径为1的圆中,弦AB、AC分别
3
2
,则∠BAC=
 

查看答案和解析>>

科目:初中数学 来源: 题型:

在半径为l的⊙O中,弦AB,AC分别是
3
2
,则∠BAC的度数为(  )

查看答案和解析>>

科目:初中数学 来源: 题型:

在半径为2的圆中,已知弦的长为2
3
,则这条弦与圆心的距离为
1
1

查看答案和解析>>

同步练习册答案