精英家教网 > 初中数学 > 题目详情

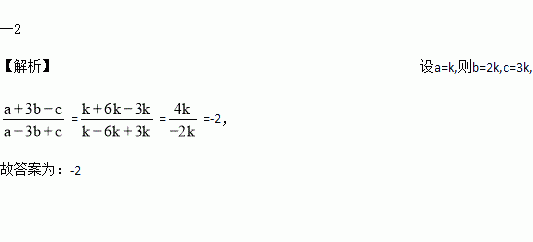
=1:2:3,则=______________.

练习册系列答案
相关习题

科目:初中数学 来源:江苏省2016-2017学年八年级3月月考数学试卷(含答案) 题型:填空题

为了估计鱼池里有多少条鱼,先捕上100条作上记号,然后放回到鱼池里,过一段时间,待有记号的鱼完全混合鱼群后,再捕上200条鱼,发现其中带记号的鱼20条,则可判断鱼池里大约有____ ____条鱼.

查看答案和解析>>

科目:初中数学 来源:内蒙古鄂尔多斯市东胜区2017届九年级下学期第二次模拟考试数学试卷 题型:解答题

某商场将进价为2000元的冰箱以2400元售出,平均每天能售出8台,为了配合国家“家电下乡”政策的实施,商场决定采取适当的降价措施.调查表明:这种冰箱的售价每降低50元,平均每天就能多售出4台.

(1)假设每台冰箱降价x元,商场每天销售这种冰箱的利润是y元,请写出y与x之间的函数表达式;(不要求写自变量的取值范围)

(2)商场要想在这种冰箱销售中每天盈利4800元,同时又要使百姓得到实惠,每台冰箱应降价多少元?

(3)每台冰箱降价多少元时,商场每天销售这种冰箱的利润最高?最高利润是多少?

查看答案和解析>>

科目:初中数学 来源:内蒙古鄂尔多斯市东胜区2017届九年级下学期第二次模拟考试数学试卷 题型:单选题

PM2.5是指大气中直径小于或等于2.5μm(1μm=0.000001m)的颗粒物,也称为可入肺颗粒物,它们含有大量的有毒、有害物质,对人体健康和大气环境质量有很大危害.2.5μm用科学记数法可表示为( )

A. B. C. D.

查看答案和解析>>

科目:初中数学 来源:苏科版八年级数学下册 第十单元 分式 综合测试卷 题型:解答题

解下列方程.

查看答案和解析>>

科目:初中数学 来源:苏科版八年级数学下册 第十单元 分式 综合测试卷 题型:填空题

__________时,分式有意义.

查看答案和解析>>

科目:初中数学 来源:苏科版八年级数学下册 第十单元 分式 综合测试卷 题型:单选题

计算的结果( )

A. 相等 B. 互为倒数 C. 互为相反数 D. 以上都不对

查看答案和解析>>

科目:初中数学 来源:江苏省兴化市心校2017届九年级上学期期中考试数学试卷 题型:填空题

一组数据:3,5,6,x中,若中位数与平均数相等,则x=________

查看答案和解析>>

科目:初中数学 来源:江苏省连云港市2017年中考模拟(二)数学试卷 题型:单选题

的倒数是( )

A. B. -3 C. D. 3

查看答案和解析>>

同步练习册答案