精英家教网 > 初中数学 > 题目详情

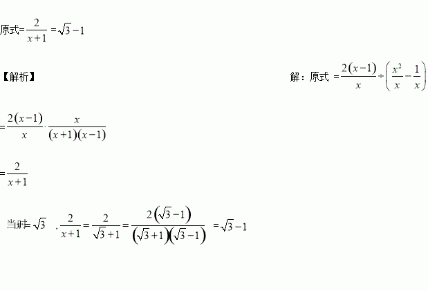
先化简再求值: (其中

练习册系列答案
相关习题

科目:初中数学 来源:2#240692#3#7#5#2017#江苏省盐城市2017届九年级下学期第三次模拟考试数学试卷#5#3 题型:填空题

如图,∠A=110°,在边AN上取B,C,使AB=BC.点P为边AM上一点,将△APB沿PB折叠,使点A落在角内点E处,连接CE,则∠BPE+∠BCE=__________°

查看答案和解析>>

科目:初中数学 来源:2#240652#1#3#6#2017#广东省河源市2016-2017学年七年级下学期第二次段考数学试卷#6#1 题型:解答题

如图,已知AB=AC,∠B = ∠C,请说明: BD=CE。

查看答案和解析>>

科目:初中数学 来源:2#240652#1#3#6#2017#广东省河源市2016-2017学年七年级下学期第二次段考数学试卷#6#1 题型:单选题

在同一平面内两条直线的位置关系可能是( )

A. 相交或垂直 B. 垂直或平行 C. 平行或相交 D. 平行或相交或重合

查看答案和解析>>

科目:初中数学 来源:2#240651#2#7#6#2017#广东省中山市业水平考试数学试卷#6#3 题型:解答题

如图,已知直线: 与反比例函数的图像交于,且直线轴交于点.

(1)求直线的解析式;

(2)若不等式成立,则的取值范围是_______________;

(3)若直线轴平行,且与双曲线交于点,与直线交于点,连接,当的面积是面积的一半时,求的值.

查看答案和解析>>

科目:初中数学 来源:2#240651#2#7#6#2017#广东省中山市业水平考试数学试卷#6#3 题型:填空题

如图,已知是⊙O的直径, 是⊙O的弦, ,则__________.

查看答案和解析>>

科目:初中数学 来源:2#240651#2#7#6#2017#广东省中山市业水平考试数学试卷#6#3 题型:单选题

不等式组的解集是( )

A. B. C. D. 无解

查看答案和解析>>

科目:初中数学 来源:2#240637#1#3#21#2017#陕西省西安市2016-2017学年七年级5月月考数学试卷#21#1 题型:填空题

分别以2 cm、3 cm、4 cm、5 cm的线段为边可构成________个三角形.

查看答案和解析>>

科目:初中数学 来源:2#240758#3#7#16#2017#江西省等学校招生考试信息卷--数学试卷#16#3 题型:解答题

如图,已知四边形OABC是菱形,OC在x轴上,B(18,6),反比例函数y= (k≠0)的图象经过点A,与OB交于点E.

(1)求出k的值;

(2)求OE∶EB的值.

查看答案和解析>>

同步练习册答案