精英家教网 > 初中数学 > 题目详情
如图,海上有一灯塔P,在它周围6海里内有暗礁,一艘海轮以18海里/时的速度由西向东方向航行,行至A点处测得灯塔P在它的北偏东60°的方向上,继续向东行驶20分钟后,到达B处又测得灯塔P在它的北偏东45°方向上,如果海轮不改变方向继续前进有没有触礁的危险?

解:过P作PC⊥AB于C点,根据题意,得
AB=18×=6,∠PAB=90°-60°=30°,
∠PBC=90°-45°=45°,∠PCB=90°,
∴PC=BC,
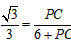
在Rt△PAC中,tan30°=
,解得PC=
>6,
∴海轮不改变方向继续前进无触礁危险。
练习册系列答案
相关习题

科目:初中数学 来源: 题型:

精英家教网如图,海上有一灯塔P,在它周围3海里处有暗礁.一艘客轮以9海里/时的速度由西向东航行,行至A点处测得P在它的北偏东60°的方向,继续行驶20分钟后,到达B处又测得灯塔P在它的北偏东45°方向.问客轮不改变方向继续前进有无触礁的危险?

查看答案和解析>>

科目:初中数学 来源: 题型:

精英家教网如图,海上有一灯塔P,在它周围6海里内有暗礁.一艘海轮以18海里/时的速度由西向东方向航行,行至A点处测得灯塔P在它的北偏东60°的方向上,继续向东行驶20分钟后,到达B处又测得灯塔P在它的北偏东45°方向上,如果海轮不改变方向继续前进有没有暗礁的危险?

查看答案和解析>>

科目:初中数学 来源: 题型:

精英家教网如图,海上有一灯塔P,在它周围6海里内有暗礁.一艘渔船跟踪鱼群由西向东方向航行,行至A点处测得灯塔P在它的北偏东60°的方向上,继续向东行驶6海里后,到达B处又测得灯塔P在它的北偏东45°方向上,如果渔船不改变方向继续前进有没有触礁的危险?

查看答案和解析>>

科目:初中数学 来源: 题型:

精英家教网如图,海上有一灯塔P,在它周围6海里内有暗礁.一艘海轮以24海里/时的速度由西向东方向航行,行至A点处测得灯塔P在它的北偏东60°的方向上,继续向东行驶20分钟后,到达B处又测得灯塔P在它的北偏东30°方向上,如果海轮不改变方向继续前进有没有触礁的危险?

查看答案和解析>>

科目:初中数学 来源: 题型:

如图,海上有一灯塔P,在它周围4千米内有暗礁,一艘轮船以每小时9千米的速度由东向西行驶,行至A处测得灯塔P在它的北偏西75?,继续行驶一小时到达B处,又测得灯塔P在它的北偏西60?,试问:若客轮不改变航向,是否有触礁的危险?(供考生参考的数据:tan15°≈0.2679,cot15°≈3.732,
3
≈1.732)

查看答案和解析>>

同步练习册答案