精英家教网 > 初中数学 > 题目详情
如图,(1)写出图中阴影部分的面积;(2)当a=3, b=2时,计算阴影部分的面积(=3.1415,单位:cm)
练习册系列答案
相关习题

科目:初中数学 来源: 题型:

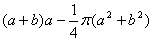
精英家教网如图:
(1)写出图中阴影部分的面积;
(2)当a=3,b=2时,计算阴影部分的面积(π=3.1416,保留3个有效数字,单位:cm).

查看答案和解析>>

科目:初中数学 来源: 题型:

如图,梯形ABCD中,AB∥CD,AD=BC,O为梯形ABCD外一点,OA、OB分别交DC于点F、E,且OA=OB
(1)写出图中你认为全等的几对三角形(不再添加辅助线);
(2)选择你在(1)中写出的全等三角形中的任意一对进行证明.

查看答案和解析>>

科目:初中数学 来源: 题型:

如图,AOB为一条直线,∠1+∠2=90°,∠COD是直角.
(1)请写出图中相等的角,并说明理由;
(2)请分别写出图中互余的角和互补的角.

查看答案和解析>>

科目:初中数学 来源: 题型:解答题

如图,梯形ABCD中,AB∥CD,AD=BC,O为梯形ABCD外一点,OA、OB分别交DC于点F、E,且OA=OB
(1)写出图中你认为全等的几对三角形(不再添加辅助线);
(2)选择你在(1)中写出的全等三角形中的任意一对进行证明.

查看答案和解析>>

科目:初中数学 来源:不详 题型:解答题

如图,梯形ABCD中,ABCD,AD=BC,O为梯形ABCD外一点,OA、OB分别交DC于点F、E,且OA=OB
(1)写出图中你认为全等的几对三角形(不再添加辅助线);
(2)选择你在(1)中写出的全等三角形中的任意一对进行证明.
精英家教网

查看答案和解析>>

同步练习册答案