精英家教网 > 初中数学 > 题目详情

CD是⊙O的一条弦,作直径AB,使AB⊥CD,垂足为E,若AB=10,CD=8,则BE的长是________.

练习册系列答案
相关习题

科目:初中数学 来源:山西农业大学附属中学2016-2017学年七年级下学期期末考试数学试卷 题型:填空题

在下列条件中:①∠A+∠B=∠C,②∠A∶∠B∶∠C=1∶2∶3,③∠A=90°-∠B,④∠A=∠B=∠C中,能确定△ABC是直角三角形的条件有________________.

查看答案和解析>>

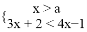
科目:初中数学 来源:山西省大同市矿区2016-2017学年七年级下学期期末考试数学试卷 题型:解答题

已知x是整数,且的差大于3且小于5,求的值.

查看答案和解析>>

科目:初中数学 来源:山西省大同市矿区2016-2017学年七年级下学期期末考试数学试卷 题型:单选题

下面各图中,∠1与∠2是对顶角的是( )

A. B. C. D.

查看答案和解析>>

科目:初中数学 来源:黑龙江省牡丹江管理局北斗星协会2017届九年级中考三模数学试卷 题型:解答题

如图,方格纸中每个小正方形的边长都是1个单位长度,△ABC在平面直角坐标系中的位置如图所示.

(1)将△ABC向上平移3个单位后,得到△A1B1C1,请画出△A1B1C1,并直接写出点A1的坐标.

(2)将△ABC绕点O顺时针旋转90°,请画出旋转后的△A2B2C2,并求点B所经过的路径长(结果保留π)

查看答案和解析>>

科目:初中数学 来源:黑龙江省牡丹江管理局北斗星协会2017届九年级中考三模数学试卷 题型:填空题

函数中,自变量的取值范围是___________.

查看答案和解析>>

科目:初中数学 来源:黑龙江省牡丹江管理局北斗星协会2017届九年级中考三模数学试卷 题型:单选题

若不等式的解集为x>3,则a的取值范围是( ).

A. a>3 B. a≥3 C. a<3 D. a≤3

查看答案和解析>>

科目:初中数学 来源:安徽省合肥市2016-2017学年下学期期末考试七年级数学试卷 题型:填空题

如图,在中, ,将它绕着点旋转后得到,则___________.

查看答案和解析>>

科目:初中数学 来源:江苏省泰州市姜堰区2016-2017学年八年级下学期期末考试数学试卷 题型:解答题

(本题满分10分)已知关于x的一元二次方程(x-3)(x-4)=a²

(1)求证:对于任意实数a,方程总有两个不相等的实数根;

(2)若方程有一个根是1,求a的值及方程的另一个根.

查看答案和解析>>

同步练习册答案