精英家教网 > 初中数学 > 题目详情

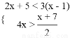
(1)因式分【解析】

(2)解不等式,并把它的解集表示在数轴上.

练习册系列答案
相关习题

科目:初中数学 来源:青海省2016-2017学年七年级6月月考数学试卷 题型:单选题

小红读一本500页的书,计划10天内读完,前5天因种种原因只读了100页,为了按计划读完,则从第六天起平均每天至少要读( )

A. 50页 B. 60页 C. 80页 D. 100页

查看答案和解析>>

科目:初中数学 来源:北京市2016-2017学年度第二学期七年级数学期中试卷 题型:解答题

求下列各式中的的取值范围:(1)(2)

查看答案和解析>>

科目:初中数学 来源:北京市2016-2017学年度第二学期七年级数学期中试卷 题型:单选题

如图,直线AB、CD相交于点O,EF⊥AB于O,且∠COE =50°,则∠BOD等于( )

A. 40° B. 45° C. 55° D. 65°

查看答案和解析>>

科目:初中数学 来源:四川外语学院重庆第二外国语学校2016-2017学年八年级下学期第二次月考数学试卷 题型:解答题

如图1, 中, 的平分线,过点作 与垂直的直线.动点从点出发沿折线以每秒1个单位长度的速度向终点运动,运动时间为秒,同时动点从点出发沿折线以相同的速度运动,当点到达点同时停止运动.

(1)求的长;

(2)设的面积为,直接写出的函数关系式;

(3)当上、上运动时,如图2,设交于点. 在的运动过程中,是否存在这样的,使以为顶点的三角形是等腰三角形?若存在,求出所有的值;若不存在,说明理由.

查看答案和解析>>

科目:初中数学 来源:四川外语学院重庆第二外国语学校2016-2017学年八年级下学期第二次月考数学试卷 题型:填空题

,则____________.

查看答案和解析>>

科目:初中数学 来源:四川外语学院重庆第二外国语学校2016-2017学年八年级下学期第二次月考数学试卷 题型:单选题

在物理电学中,常用公式求串联电路的总电压,当时,电压的值为( )

A. 200 B. 210 C. 300 D. 310

查看答案和解析>>

科目:初中数学 来源:北京市海淀区2016-2017学年八年级下学期期末考试数学试卷 题型:解答题

计算:

查看答案和解析>>

科目:初中数学 来源:山东省蒙阴县2016-2017学年七年级下学期期末考试数学试卷 题型:解答题

双蓉服装店老板到厂家购A、B两种型号的服装,若购A种型号服装9件,B种型号服装10件,需要1810元;若购进A种型号服装12件,B种型号服装8件,需要1880元。

(1)求A、B两种型号的服装每件分别为多少元?

(2)若销售一件A型服装可获利18元,销售一件B型服装可获利30元,根据市场需要,服装店老板决定:购进A型服装的数量要比购进B型服装的数量的2倍还多4件,且A型服装最多可购进28件,这样服装全部售出后可使总的获利不少于699元,问有几种进货方案?如何进货?

查看答案和解析>>

同步练习册答案