精英家教网 > 初中数学 > 题目详情

三角形ABC中,G是BC上一点,D,E分别在边AB,AC上,DE∥BC,M为直线DE上一点,N为直线GD上一点,∠DMN=∠B

(1)如图a,当点M在DE上,点N在DG上时,求证:∠BDN=∠MND;

(2)当点M在ED延长线上,点N在GD延长线上时,请在图b中画出图形,此时∠BDN与∠MND的数量关系是 _________ 

(3)在(2)的条件下,延长DG交AC延长线于点F,若∠A=60°,∠MND=75°,求∠F的度数.

练习册系列答案
相关习题

科目:初中数学 来源:广东省东莞市堂星晨学校2017届九年级上学期12月月考(期末模拟)数学试卷 题型:解答题

已知关于x的方x程x2+ax+a﹣2=0.

(1)当该方程的一个根为1时,求a的值及该方程的另一根;

(2)求证:不论a取何实数,该方程都有两个不相等的实数根.

查看答案和解析>>

科目:初中数学 来源:江苏省仪征市2017届九年级上学期第二次数学试卷 题型:单选题

下列四个命题:①直径是弦;②经过三个点一定可以作圆;③三角形的内心到三角形各边的距离都相等;④相等的弦所对的弧相等.其中正确的有(  )

A. 4个 B. 3个 C. 2个 D. 1个

查看答案和解析>>

科目:初中数学 来源:2017年浙江省杭州市中考数学仿真试卷(二) 题型:填空题

若关于x的一元二次方程x2-2x-k=0没有实数根,则k的取值范围是 ______ .

查看答案和解析>>

科目:初中数学 来源:2017年浙江省杭州市中考数学仿真试卷(二) 题型:单选题

如图,在一个长方体上放着一个小正方体,若这个组合体的俯视图如图所示,则这个组合体的左视图是(  )

A. B. C. D.

查看答案和解析>>

科目:初中数学 来源:黑龙江省哈尔滨市2016-2017学年七年级上学期(五四制)期中考试数学试卷 题型:解答题

解方程

(1)2x+5=3(x-1) (2)

查看答案和解析>>

科目:初中数学 来源:黑龙江省哈尔滨市2016-2017学年七年级上学期(五四制)期中考试数学试卷 题型:填空题

元旦期间,“新世纪百货”进行换季打折销售活动.简爽同学以8折的优惠价购买了一件运动服,节省了18元,那么他购买这件衣服实际用了_____________元.

查看答案和解析>>

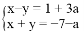
科目:初中数学 来源:江苏省启东市2017-2018学年八年级上学期开学考试数学试卷 题型:解答题

已知方程组的解x为非正数,y为负数.

(1)求a的取值范围;

(2)在a的取值范围中,当a为何整数时,不等式2ax+x>2a+1的解为x<1.

查看答案和解析>>

科目:初中数学 来源:浙江省杭州市2017届九年级上学期期中考试数学试卷 题型:填空题

如图,△ABC内接于⊙ O,其外角平分线AD交⊙ O于D,DM⊥ AC于M,下列结论中正确的是 ____________。

①DB=DC; ②AC+AB=2CM;③AC﹣AB=2AM; ④

查看答案和解析>>

同步练习册答案