精英家教网 > 初中数学 > 题目详情
已知:如图,四边形ABCD是等腰梯形,其中AD∥BC,AD=2,BC=4,AB=DC=2,点M从点B开始,以每秒1个单位的速度向点C运动;点N从点D开始,沿D-A-B方向,以每秒1个单位的速度向点B运动,若点M、N同时开始运动,其中一点到达终点,另一点也停止运动,运动时间为t(t>0),过点N作NP⊥BC于P,交BD于点Q。
(1)点D到BC的距离为____;
(2)求出t为何值时,QM∥AB;
(3)设△BMQ的面积为S,求S与t的函数关系式;
(4)直接写出t为何值时,△BMQ为直角三角形。
解:(1)
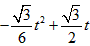
(2)t=
(3)当0<t≤2时,S=
当t≥2时,S=
(4)t=
练习册系列答案
相关习题

科目:初中数学 来源: 题型:

精英家教网已知,如图,四边形ABCD中∠B=90°,AB=9,BC=12,AD=8,CD=17.
试求:(1)AC的长;(2)四边形ABCD的面积.

查看答案和解析>>

科目:初中数学 来源: 题型:

精英家教网已知:如图,四边形ABCD内接于⊙O,且AB∥CD,AD∥BC,
求证:四边形ABCD是矩形.

查看答案和解析>>

科目:初中数学 来源: 题型:

已知,如图,四边形ABCD是正方形,E、F分别是AB和AD延长线上的点,且BE=DF
(1)求证:CE=CF;
(2)求∠CEF的度数.

查看答案和解析>>

科目:初中数学 来源: 题型:

已知:如图,四边形ABCD中,BC=CD=10,AB=15,AB⊥BC,CD⊥BC,若把四边形ABCD绕直线AB旋转一周,则所得几何体的表面积是多少?

查看答案和解析>>

科目:初中数学 来源: 题型:

已知:如图,四边形ABCD及一点P.
求作:四边形A′B′C′D′,使得它是由四边形ABCD绕P点顺时针旋转150°得到的.

查看答案和解析>>

同步练习册答案