精英家教网 > 初中数学 > 题目详情

计算: =______;(?2x?3)(?2x+3)=_____________。

练习册系列答案
相关习题

科目:初中数学 来源:山东省日照市莒县2016-2017学年七年级下学期期末考试数学试卷(WORD版) 题型:解答题

莒县两商场以同样的价格出售同样的商品,并且又各自推出不同的优惠方案:在万德福商场累计购物超过100元后,超出100元的部分按八折收费;在新世纪商场累计购物超过50元后,超出50元的部分按九折收费.

(1)若小薇妈妈准备购120元的商品,你建议小薇妈妈去   商场购物(在横线上直接填写“万德福”或者“新世纪”);

(2)请根据两家商场的优惠活动方案,讨论顾客到哪家商场购物花费少?并说明理由.

查看答案和解析>>

科目:初中数学 来源:江苏省苏州市2016-2017学年第二学期九年级下学期数学二模数学试卷 题型:解答题

计算:

查看答案和解析>>

科目:初中数学 来源:江苏省苏州市2016-2017学年第二学期九年级下学期数学二模数学试卷 题型:单选题

地球的平均半径约为米,该数字用科学记数法可表示为( ).

A. B. C. D.

查看答案和解析>>

科目:初中数学 来源:北京市2016-2017学年七年级5月月考数学试卷 题型:填空题

下图中的四边形均为矩形.根据图形,利用图中的字母,写出一个正确的等式:_____.

查看答案和解析>>

科目:初中数学 来源:北京市2016-2017学年七年级5月月考数学试卷 题型:单选题

下列各式是完全平方式的是( )

A. B. C. D.

查看答案和解析>>

科目:初中数学 来源:山东省2016-2017学年八年级5月月考数学试卷 题型:解答题

某工厂现有甲种原料360千克,乙种原料290千克,计划利用这两种原料生产A、B两种产品共50件,已知生产一件A种产品用甲种原料9千克,乙种原料3千克,可获利700元;生产一件B种产品用甲种原料4千克,乙种原料10千克,可获利1200元.

(1)按要求安排A、B两种产品的生产件数,有哪几种方案?请你设计出来;

(2)设生产A、B两种产品总利润为y元,其中一种产品生产件数为x件,试写出y与x之间的函数关系式,并利用函数的性质说明那种方案获利最大?最大利润是多少?

查看答案和解析>>

科目:初中数学 来源:山东省2016-2017学年八年级5月月考数学试卷 题型:单选题

如图,在平面直角坐标系中,点B、C、E在y轴上,Rt△ABC 经过变换得到Rt△ODE,若点C的坐标为(0,1),AC=2,则这种变换可以是( )

A. △ABC绕点C顺时针旋转90°,再向下平移3个单位

B. △ABC绕点C顺时针旋转90°,再向下平移1个单位

C. △ABC绕点C逆时针旋转90°,再向下平移1个单位

D. △ABC绕点C逆时针旋转90°,再向下平移3个单位

查看答案和解析>>

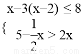
科目:初中数学 来源:江苏省苏州市2016-2017学年中考数学二模试卷 题型:解答题

求不等式组的整数解。

查看答案和解析>>

同步练习册答案