精英家教网 > 初中数学 > 题目详情

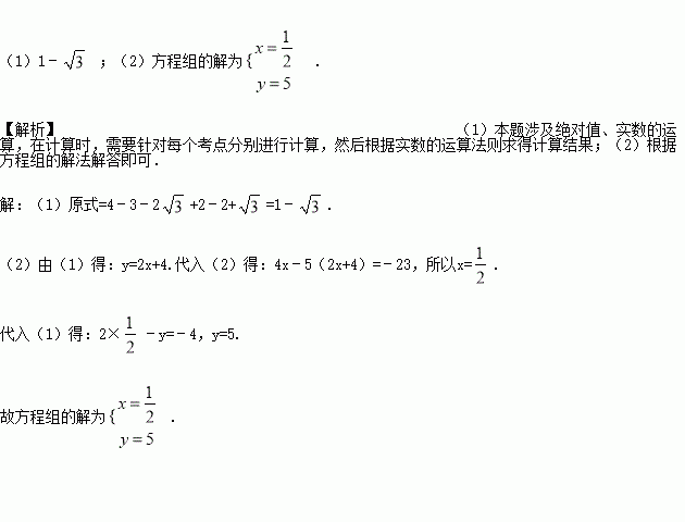
(1)计算: -2(-1)-.

(2)解方程组: .

练习册系列答案
相关习题

科目:初中数学 来源:天津市 2017年九年级数学中考模拟试卷(含答案) 题型:填空题

比较大小:

查看答案和解析>>

科目:初中数学 来源:四川省岳池县酉溪学区2015-2016学年八年级下学期第二次月考数学试卷 题型:解答题

直线y=ax-1经过点(4,3),交y轴于点A.直线y=-0.5x+b交y轴于点B(0,1),且与直线y=ax-1相交于点C.求△ABC的面积.

查看答案和解析>>

科目:初中数学 来源:四川省岳池县酉溪学区2015-2016学年八年级下学期第二次月考数学试卷 题型:单选题

下列描述一次函数y=-2x+5图象性质错误的是( )

A. y随x的增大而减小

B. 直线经过第一、二、四象限

C. 直线从左到右是下降的

D. 直线与x轴交点坐标是(0,5)

查看答案和解析>>

科目:初中数学 来源:山东省2016-2017学年七年级下学期期末数学试卷 题型:解答题

Rt△ABC中,∠C=90°,点D、E分别是△ABC边AC、BC上的点,点P是一动点.令∠PDA=∠1,∠PEB=∠2,∠DPE=∠α.

(1)若点P在线段AB上,如图(1)所示,且∠α=50°,则∠1+∠2=   °;

(2)若点P在边AB上运动,如图(2)所示,则∠α、∠1、∠2之间的关系为:   

(3)若点P运动到边AB的延长线上,如图(3)所示,则∠α、∠1、∠2之间有何关系?猜想并说明理由.

(4)若点P运动到△ABC形外,如图(4)所示,则∠α、∠1、∠2之间的关系为:  .

查看答案和解析>>

科目:初中数学 来源:山东省2016-2017学年七年级下学期期末数学试卷 题型:填空题

如图,∠B=∠E=90°,AB=a,DE=b,AC=CD,∠D=60°,∠A=30°,则BE=________.

查看答案和解析>>

科目:初中数学 来源:山东省2016-2017学年七年级下学期期末数学试卷 题型:单选题

如图,AB∥CD,∠B=68°,∠E=20°,则∠D的度数为(  )

A. 28° B. 38° C. 48° D. 88°

查看答案和解析>>

科目:初中数学 来源:山东省威海市文登区八校(五四学制)2016-2017学年七年级下学期期中考试数学试卷 题型:填空题

二中岗十字路口南北方向的红绿灯设置为:红灯30秒,绿灯60秒,黄灯3秒,小明由南向北经过路口遇到红灯的概率为______.

查看答案和解析>>

科目:初中数学 来源:河南省平顶山市2016-2017学年八年级(下)期末考试数学试卷 题型:解答题

如图所示,在四边形ABCD中,AB=CD,M、N、P分别是AD、BC、BD的中点,∠ABD=20°,∠BDC=70°,求∠PMN的度数.

查看答案和解析>>

同步练习册答案