精英家教网 > 初中数学 > 题目详情

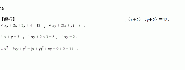
已知x+y=3,且(x+2)(y+2)=12,则x2+3xy+y2的值为_____.

练习册系列答案
相关习题

科目:初中数学 来源:浙江省温州市2016-2017学年八年级上学期期中考试数学试卷 题型:填空题

直角三角形的两条直角边长为6,8,那么斜边上的中线长是____.

查看答案和解析>>

科目:初中数学 来源:甘肃省武威市2016-2017学年七年级下学期期末考试数学试卷 题型:填空题

如图,直线a∥b,将三角尺的直角顶点放在直线b上,∠1=35°,则∠2=______.

查看答案和解析>>

科目:初中数学 来源:甘肃省武威市2016-2017学年七年级下学期期末考试数学试卷 题型:单选题

下列生活中的各个现象,属于平移变换现象的是(   )

A. 拉开抽屉 B. 用放大镜看文字

C. 时钟上分针的运动 D. 你和平面镜中的像

查看答案和解析>>

科目:初中数学 来源:陕西省2016-2017学年七年级下学期期末考试数学试卷 题型:解答题

一个不透明的袋中装有红、黄、白三种颜色球共100个,它们除颜色外都相同,其中黄球个数是白球个数的2倍少5个.已知从袋中摸出一个球是红球的概率是.

(1)求袋中红球的个数;

(2)求从袋中摸出一个球是白球的概率;

(3)取走10个球(其中没有红球)后,求从剩余的球中摸出一个球是红球的概率.

查看答案和解析>>

科目:初中数学 来源:陕西省2016-2017学年七年级下学期期末考试数学试卷 题型:单选题

如图,点E是BC的中点,AB⊥BC, DC⊥BC,AE平分∠BAD,下列结论: ① ∠A E D =90°;

② ∠A D E = ∠ C D E ; ③ D E = B E ;④ AD=AB+CD, 四个结论中成立的是( )

A. ① ② ④ B. ① ② ③ C. ② ③ ④ D. ② ④

查看答案和解析>>

科目:初中数学 来源:陕西省2016-2017学年七年级下学期期末考试数学试卷 题型:单选题

一枚质地均匀的正方体骰子,其六个面上分别刻有1、2、3、4、5、6六个数字,投掷这个骰子一次,则向上一面的数字小于3的概率是( )

A. B. C. D.

查看答案和解析>>

科目:初中数学 来源:内蒙古2016-2017学年七年级下学期期中考试数学试卷 题型:单选题

数轴上1, 的点分别为A和B,若A为BC的中点,则点C表示的数是( )

A. B. C. D.

查看答案和解析>>

科目:初中数学 来源:河北省保定市高阳县2016-2017学年七年级下学期期末考试数学试卷 题型:填空题

《孙子算经》中有一道题:“今有木,不知长短,引绳度之,余绳四尺五寸;屈绳量之,不足一尺,木长几何?”译文大致是:“用一根绳子去量一根木条,绳子剩余尺;将绳子对折再量木条,木条剩余尺,问木条长多少尺?”如果设木条长尺,绳子长尺,可列方程组为___________;

查看答案和解析>>

同步练习册答案