科目:初中数学 来源:北京市石景山区2016-2017学年七年级下学期期末考试数学试卷 题型:填空题
我国明代数学家程大位的名著《直接算法统宗》里有一道著名算题:
“一百馒头一百僧,大僧三个更无争,小僧三人分一个,大小和尚各几丁?”意思是:有100个和尚分100个馒头,正好分完;如果大和尚一人分3个,小和尚3人分一个,试问大、小和尚各几人?设大、小和尚各有x,y人,则可以列方程组 .
查看答案和解析>>
科目:初中数学 来源:山东省2016-2017学年九年级(上)期末自测数学试卷(含答案) 题型:解答题
在初三综合素质评定结束后,为了了解年级的评定情况,现对初三某班的学生进行了评定等级的调查,绘制了如下男女生等级情况折线统计图和全班等级情况扇形统计图。
![]()
(1)调查发现评定等级为合格的男生有2人,女生有1人,则全班共有_________名学生。
(2)补全女生等级评定的折线统计图。
(3)根据调查情况,该班班主任从评定等级为合格和A的学生中各选1名学生进行交流,请用树形图或表格求出刚好选中一名男生和一名女生的概率。
查看答案和解析>>
科目:初中数学 来源:山东省2016-2017学年九年级(上)期末自测数学试卷(含答案) 题型:单选题
如图,已知抛物线与x轴的一个交点为A(1,0),对称轴是x=-1,则该抛物线与x轴的另一交点坐标是( )
![]()
A. (-3,0) B. (-2,0)
C. x=-3 D. x=-2
查看答案和解析>>
科目:初中数学 来源:江苏省连云港市2016-2017学年度第二学期中考数学模拟试卷 题型:解答题
如图,⊙O是△ABC的外接圆,AB是直径,作OD∥BC与过点A的切线交于点D,连接DC并延长交AB的延长线于点E.
(1)求证:DE是⊙O的切线;
(2)若AE=6,CE=2
,求线段CE、BE与劣弧BC所围成的图形面积.(结果保留根号和π)
![]()
查看答案和解析>>
科目:初中数学 来源:江苏省连云港市2016-2017学年度第二学期中考数学模拟试卷 题型:填空题
如图,点E(0,3),O(0,0),C(4,0)在⊙A上,BE是⊙A上的一条弦.则sin∠OBE=___.
![]()
查看答案和解析>>
科目:初中数学 来源:江苏省连云港市2016-2017学年度第二学期中考数学模拟试卷 题型:单选题
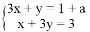
若关于x、y的二元一次方程组
的解满足x+y<2,则a的取值范围是( )
A. a>2 B. a<2 C. a>4 D. a<4
查看答案和解析>>
科目:初中数学 来源:福建省莆田市2016届九年级数学能力达标练习09 题型:单选题
已知一次函数y=kx+3的图象经过点A,且函数值y随x的增大而增大,则点A的坐标不可能是( )
A. (2,4) B. (-1,2) C. (5,1) D. (-1,-4)
查看答案和解析>>
科目:初中数学 来源:福建省莆田市2016届九年级数学能力达标练习06 题型:填空题
如图,△COD是由△AOB绕点O按顺时针方向旋转40°后得到的图形,点C恰好在边AB上.若∠AOD=100°,则∠D的度数是_______°.
![]()
查看答案和解析>>
湖北省互联网违法和不良信息举报平台 | 网上有害信息举报专区 | 电信诈骗举报专区 | 涉历史虚无主义有害信息举报专区 | 涉企侵权举报专区
违法和不良信息举报电话:027-86699610 举报邮箱:58377363@163.com