精英家教网 > 初中数学 > 题目详情

如图,在同一平面内,两条平行景观长廊l1和l2间有一条“U”形通道,其中AB段与景观长廊l1成45°角,长为20m;BC段与景观长廊垂直,长为10m,CD段与景观长廊l2成60°角,长为10m,求两景观长廊间的距离(结果保留根号).

练习册系列答案
相关习题

科目:初中数学 来源:江苏省镇江市苏科版八年级数学上册:4 实数 单元测试卷 题型:填空题

是二元一次方程组的解,则m+5n的立方根为_______.

查看答案和解析>>

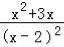
科目:初中数学 来源:江苏省苏州昆山市2017年中考数学一轮复习专题练习《分式》 题型:解答题

先化简,再求值:÷(1﹣),其中x=

查看答案和解析>>

科目:初中数学 来源:江苏省苏州昆山市2017年中考数学一轮复习专题练习《分式》 题型:填空题

化简:÷=

查看答案和解析>>

科目:初中数学 来源:江苏省苏州昆山市2017年中考数学一轮复习专题练习《分式》 题型:单选题

已知分式的值为0,那么x的值是(  )

A. ﹣1 B. ﹣2 C. 1 D. 1或﹣2

查看答案和解析>>

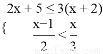
科目:初中数学 来源:江苏省2017届九年级中考最后一模数学试卷 题型:解答题

解不等式组,并写出它的整数解.

查看答案和解析>>

科目:初中数学 来源:江苏省2017届九年级中考最后一模数学试卷 题型:填空题

已知⊙O是四边形ABCD的外接圆,∠A比∠C的2倍小30°,则∠C的度数是______

查看答案和解析>>

科目:初中数学 来源:深圳锦华实验学校2017届九年级数学中考模拟试卷 题型:解答题

先化简,再求值:,其中a=

查看答案和解析>>

科目:初中数学 来源:江苏省2016-2017学年八年级上学期第二次教学质量检测数学试卷 题型:单选题

若a>0,b<﹣2,则点(a,b+2)在(  )

A. 第四象限 B. 第三象限 C. 第二象限 D. 第一象限

查看答案和解析>>

同步练习册答案