精英家教网 > 初中数学 > 题目详情

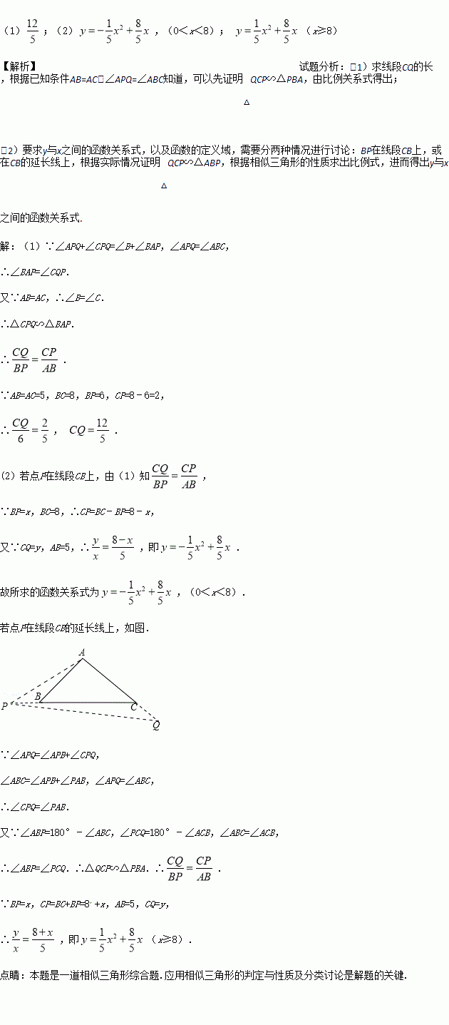
中, ,点 分别在射线上(点不与点、点重合),且保持.

①若点在线段上(如图),且,求线段的长;

②若,求之间的函数关系式,并写出自变量的取值范围;

练习册系列答案
相关习题

科目:初中数学 来源:山东省2017届九年级上学期期中考试数学试卷 题型:解答题

如图1,一等腰直角三角尺GEF的两条直角边与正方形ABCD的两条边分别重合在一起.现正方形ABCD保持不动,将三角尺GEF绕斜边EF的中点O(点O也是BD中点)按顺时针方向旋转.

(1)如图2,当EF与AB相交于点M,GF与BD相交于点N时,通过观察或测量BM,FN的长度,猜想BM,FN满足的数量关系,并证明你的猜想;

(2)若三角尺GEF旋转到如图3所示的位置时,线段FE的延长线与AB的延长线相交于点M,线段BD的延长线与GF的延长线相交于点N,此时,(1)中的猜想还成立吗?若成立,请证明;若不成立,请说明理由.

查看答案和解析>>

科目:初中数学 来源:陕西西安市2017届九年级第九次适应性训练(九模)数学试卷 题型:单选题

如图,已知,点在边上, ,点在边上, ,若,则 ( ).

A. B. C. D.

查看答案和解析>>

科目:初中数学 来源:新疆兵团四师七十一团中学2017届九年级上学期第一次月考数学试卷 题型:填空题

已知二次函数的图像过点A(1,2),B(3,2),C(5,7).若点M(-2, ),N(-1, ),K(8, )也在二次函数的图像上,则的从小到大的关系是__________.

查看答案和解析>>

科目:初中数学 来源:新疆兵团四师七十一团中学2017届九年级上学期第一次月考数学试卷 题型:单选题

已知二次函数的图象如图所示,则这个二次函数的表达式为( )

A. y=x2﹣2x+3 B. y=x2﹣2x﹣3 C. y=x2+2x﹣3 D. y=x2+2x+3

查看答案和解析>>

科目:初中数学 来源:安徽省安庆市二十校2017届九年级上学期期中联考数学试卷 题型:解答题

某乡镇要在生活垃圾存放区建一个老年活动中心,这样必须把1200的生活垃圾运走.

⑴假如每天能运 ,所需的时间为天,写出之间的函数关系式;

⑵若每辆拖拉机一天能运12,则5辆这样的拖拉机要用多少天才能运完?

查看答案和解析>>

科目:初中数学 来源:安徽省安庆市二十校2017届九年级上学期期中联考数学试卷 题型:单选题

如图,正方形ABCD的边长为3cm,动点P从B点出发以3cm/s的速 度沿着边BC﹣CD﹣DA运动,到达A点停止运动;另一动点Q同时从B点出发,以1cm/s的速度沿着边BA向A点运动,到达A点停止运动.设P点运动时间为x(s),△BPQ的面积为y(cm2),则y关于x的函数图象是(  )

A. B. C. D.

查看答案和解析>>

科目:初中数学 来源:2017年云南省曲靖市中考数学二模试卷 题型:解答题

已知AB∥DE,BC∥EF,D,C在AF上,且AD=CF,求证:AB=DE.

查看答案和解析>>

科目:初中数学 来源:天津市蓟县2016-2017学年七年级(上)期中数学试卷 题型:单选题

如果a+b=c,且a、b都大于c,那么a、b一定是(   )

A. 同为负数 B. 一个正数一个负数 C. 同为正数 D. 一个负数一个是零

查看答案和解析>>

同步练习册答案