精英家教网 > 初中数学 > 题目详情
已知△ABC在平面直角坐标系中的位置如下图所示。
(1)分别写出图中点A和点C的坐标;
(2)画出△ABC绕点A按逆时针方向旋转90° 后的△AB′C′;
(3)求点C旋转到点C′所经过的路线长(结果保留π )
解:(1)点A的坐标(2,1),点B的坐标(6,0)
(2)如图,△AB′C′为所求作的图形

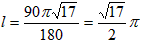
(3)
点旋转到点所经过的路线长:
练习册系列答案
相关习题

科目:初中数学 来源: 题型:

7、已知△ABC在平面直角坐标系的位置如图所示,将△ABC向右平移6个单位,则平移后A点的坐标是(  )

查看答案和解析>>

科目:初中数学 来源: 题型:

18、已知△ABC在平面直角坐标系中的位置如图所示.将△ABC向右平移6个单位长度,再向下平移6个单位长度得到△A1B1C1.(图中每个小方格边长均为1个单位长度).
(1)在图中画出平移后的△A1B1C1
(2)直接写出△A1B1C1各顶点的坐标.

查看答案和解析>>

科目:初中数学 来源: 题型:

已知△ABC在平面直角坐标系中的位置如图所示.
(1)画出△ABC关于y轴对称的△AB1C1;并写出B1的坐标;
(2)将△ABC向右平移8个单位,画出平移后的△A2B2C2;并写出B2的坐标.

查看答案和解析>>

科目:初中数学 来源: 题型:

精英家教网已知△ABC在平面直角坐标系中的位置如图所示.
(1)分别写出图中点A和点C的坐标;
(2)画出△ABC绕点C按顺时针方向旋转90°后的△A′B′C′;
(3)求点A旋转到点A′所经过的路线长(结果保留π).

查看答案和解析>>

科目:初中数学 来源: 题型:

已知△ABC在平面直角坐标系中的位置如图所示,点A1的坐标为(4,7),将△精英家教网ABC平移到△A1B1C1,使点A变换为点A1,点B1、C1分别是点B、C的对应点.
(1)请画出△A1B1C1,并写出点B1的坐标
 

(2)求△A1B1C1的面积.

查看答案和解析>>

同步练习册答案