相关习题
 0  316363  316371  316377  316381  316387  316389  316393  316399  316401  316407  316413  316417  316419  316423  316429  316431  316437  316441  316443  316447  316449  316453  316455  316457  316458  316459  316461  316462  316463  316465  316467  316471  316473  316477  316479  316483  316489  316491  316497  316501  316503  316507  316513  316519  316521  316527  316531  316533  316539  316543  316549  316557  366461 

科目: 来源:2017年河北省石家庄市裕华区中考数学模拟试卷(3月份) 题型:单选题

下列图形中,∠2>∠1的是(  )

A. B. 平行四边形

C. D.

查看答案和解析>>

科目: 来源:2017年河北省石家庄市裕华区中考数学模拟试卷(3月份) 题型:单选题

若两个非零的有理数a、b,满足:|a|=a,|b|=﹣b,a+b<0,则在数轴上表示数a、b的点正确的是(  )

A. B.

C. D.

查看答案和解析>>

科目: 来源:2017年河北省石家庄市裕华区中考数学模拟试卷(3月份) 题型:单选题

在6×6方格中,将图1中的图形N平移后位置如图2所示,则图形N的平移方法中,正确的是(  )

A. 向下移动1格 B. 向上移动1格

C. 向上移动2格 D. 向下移动2格

查看答案和解析>>

科目: 来源:2017年河北省石家庄市裕华区中考数学模拟试卷(3月份) 题型:单选题

下列运算中,正确的是(  )

A. 4m﹣m=3 B. ﹣(m﹣n)=m+n C. (m2)3=m6 D. m2÷m2=m

查看答案和解析>>

科目: 来源:2017年河北省石家庄市裕华区中考数学模拟试卷(3月份) 题型:单选题

如图,在⊙O中,弦AB∥CD,若∠ABC=40°,则∠BOD=( )

A. 20° B. 40° C. 50° D. 80°

查看答案和解析>>

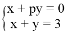
科目: 来源:2017年河北省石家庄市裕华区中考数学模拟试卷(3月份) 题型:单选题

关于x,y的方程组 的解是,其中y的值被盖住了,不过仍能求出p,则p的值是(  )

A. ﹣ B. C. ﹣ D.

查看答案和解析>>

科目: 来源:2017年河北省石家庄市裕华区中考数学模拟试卷(3月份) 题型:单选题

如图,己知△ABC,任取一点O,连AO,BO,CO,并取它们的中点D,E,F,得△DEF,则下列说法正确的个数是(  )

①△ABC与△DEF是位似图形; ②△ABC与△DEF是相似图形;

③△ABC与△DEF的周长比为1:2;④△ABC与△DEF的面积比为4:1.

A. 1 B. 2 C. 3 D. 4

查看答案和解析>>

科目: 来源:2017年河北省石家庄市裕华区中考数学模拟试卷(3月份) 题型:单选题

设边长为3的正方形的对角线长为a.下列关于a的四种说法:

①a是无理数;

②a可以用数轴上的一个点来表示;

③3<a<4;

④a是18的算术平方根.

其中,所有正确说法的序号是(  )

A. ①④ B. ②③ C. ①②④ D. ①③④

查看答案和解析>>

科目: 来源:2017年河北省石家庄市裕华区中考数学模拟试卷(3月份) 题型:单选题

某校九年级(1)班全体学生2015年初中毕业体育考试的成绩统计如下表:

成绩(分)

35

39

42

44

45

48

50

人数(人)

2

5

6

6

8

7

6

根据上表中的信息判断,下列结论中错误的是(  )

A. 该班一共有40名同学

B. 该班学生这次考试成绩的众数是45分

C. 该班学生这次考试成绩的中位数是45分

D. 该班学生这次考试成绩的平均数是45分

查看答案和解析>>

科目: 来源:2017年河北省石家庄市裕华区中考数学模拟试卷(3月份) 题型:单选题

如图,是四张形状不同的纸片,用剪刀沿一条直线将它们分别剪开(只允许剪一次),不能够得到两个等腰三角形纸片的是(  )

A. B.

C. D.

查看答案和解析>>

同步练习册答案