相关习题
0 75736 75744 75750 75754 75760 75762 75766 75772 75774 75780 75786 75790 75792 75796 75802 75804 75810 75814 75816 75820 75822 75826 75828 75830 75831 75832 75834 75835 75836 75838 75840 75844 75846 75850 75852 75856 75862 75864 75870 75874 75876 75880 75886 75892 75894 75900 75904 75906 75912 75916 75922 75930 235360
科目:
来源:2011-2012学年江苏省镇江市润州区新区大港中学九年级(上)期末物理试卷(解析版)
题型:解答题
某太阳能热水器,向其中注入50kg水,阳光照射一段时间后,水温从10℃升高到50℃.水的比热容是4.2×103J/.试求:
(1)这段时间该热水器中的水吸收的热量;
(2)如果这段时间内热水器接收到太阳辐射的热量是2.8×107J,则该热水器的效率是多少?
(3)若用煤燃烧来提供2.8×107J的热量,需完全燃烧多少千克煤?(煤的热值约为3.5×107J/kg)
查看答案和解析>>
科目:
来源:2011-2012学年江苏省镇江市润州区新区大港中学九年级(上)期末物理试卷(解析版)
题型:解答题
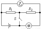
如图所示电路,R
1=10Ω,开关S闭合时,电流表示数为0.3A,电流表示数为0.5A.求:
(1)通过R
2的电流;(2)电源的电压;(3)电阻R
2的阻值.

查看答案和解析>>
科目:
来源:2011-2012学年江苏省镇江市润州区新区大港中学九年级(上)期末物理试卷(解析版)
题型:解答题
如图甲所示,电源电压不变,滑动变阻器上标有“20Ω 2A”的字样,小灯泡的额定电压为6V,图乙是通过小灯泡的电流随其两端电压变化的图象,当滑动变阻器的滑片P在b端时,电压表的示数为2V.

求:
(1)此时小灯泡的电阻和电源电压.
(2)小灯泡正常发光时,滑动变阻器连入电路的阻值.
查看答案和解析>>
科目:
来源:2012-2013学年重庆一中九年级(上)期中物理试卷(解析版)
题型:选择题
如图现象中,通过热传递来改变内能的是( )
A.

给冷水加热
B.

压缩空气温度升高
C.

下滑时臀部发热
D.

搓手取暖
查看答案和解析>>
科目:
来源:2012-2013学年重庆一中九年级(上)期中物理试卷(解析版)
题型:选择题
在温度计的玻璃泡上包上醮有酒精的棉花,如图2能反映温度计示数随时间变化情况的是(周围的温度不变)( )
A.

B.

C.

D.

查看答案和解析>>
科目:
来源:2012-2013学年重庆一中九年级(上)期中物理试卷(解析版)
题型:选择题
如图甲所示,开关闭合后,两个电流表指针偏转均为乙图所示,则通过L
1和L
2的电流分别为( )

A.0.44A 2.2A
B.0.44A 1.76A
C.0.76A 0.44A
D.0.44A 2.64A
查看答案和解析>>
科目:
来源:2012-2013学年重庆一中九年级(上)期中物理试卷(解析版)
题型:选择题
电磁炉采用的是智能风扇,会将残余的热量及时放出.使用后温度在40℃~50℃左右,及时排热是保障线路板正常运转的唯一途径.电磁炉起动后电风扇就开始工作,随后加热装置工作(注:电磁炉加热装置用电热丝代替);电风扇不工作时,电热丝怎么也不会发热;当电磁炉加热装置停止工作后,电风扇还会继续转动.则在图示的四个电路图中符合要求的是( )
A.

B.

C.

D.

查看答案和解析>>
科目:
来源:2012-2013学年重庆一中九年级(上)期中物理试卷(解析版)
题型:选择题
如图所示,甲、乙是电流表或电压表.当开关S闭合后,要使电阻R
1、R
2并联,下列说法正确的是( )

A.甲是电压表,乙是电流表
B.甲是电流表,乙是电压表
C.甲乙都是电压表
D.甲乙都是电流表
查看答案和解析>>
科目:
来源:2012-2013学年重庆一中九年级(上)期中物理试卷(解析版)
题型:选择题
俄罗斯“库尔斯克”号核潜艇在巴伦支海遇难.救援人员在艇内发现了记录潜艇各种信息的“黑盒子”,其某一部件外壳上三个电压表的示数分别为U
1、U
2、U
3,三个电流表的示数分别为I
1、I
2、I
3,它的内部结构如图所示,以下对各数据的分析正确的是( )

A.U
1=U
2=U
3B.I
1=I
2+I
3C.U
1+U
2=U
3D.以上都不正确
查看答案和解析>>
科目:
来源:2012-2013学年重庆一中九年级(上)期中物理试卷(解析版)
题型:选择题
如图所示的电路中,电源电压为3V,当开关S
1,S
2都闭合时,则( )

A.电压表被烧坏
B.电流表将被烧坏
C.灯L
1亮,灯L
2不亮
D.两只灯泡都将被烧坏
查看答案和解析>>